首页
考研
最新考研题库
中外美术史23新版
建筑类
二级建造师
一级建造师
一级造价工程师
监理工程师
安全工程师
一级消防工程师
消防设施操作员
医学类
主治类
执业药师
护师(初级)资格证考试
主管护师(中级)资格证考试
护士资格证考试
医师类
中药学类
金融类
基金从业资格
银行从业资格
证券从业资格
期货从业资格
银行招聘考试
财会类
初级经济师
中级经济师
初级会计师
中级会计师
注册会计师
税务师
资产评估师
教师类
中学教师笔试
小学教师笔试
幼儿教师笔试
幼儿结构化面试
幼儿专业面试
中小学结构化面试
学历提升
成考(专升本)
成考(高起本、高起专)
自考
网校课程
登录
注册好礼
我的主页
我的提问
我的回答
退出
当前位置:
首页
>
电气工程师公共基础(基础考试)
>
单项选择题
单选
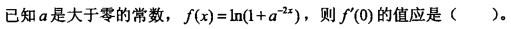
单项选择题
A A
B B
C C
D D
E E
正确答案
A
查看解析
搜索
相关试题
单选
单项选择题 图5-56所示空心立柱,横截面外边界为正方形,内边界为圆形(两图形形心重合)。 立柱受沿图示a-a线的压力作用,该柱变形为( )。 A.斜弯曲与轴向
A A B B C C D D E E
查看
单选
单项选择题 由稳定条件F≤ φ[σ]A,可求[F],当A增加1倍时,[F]增加的规律为( )。 A.增加1倍 B.增加2倍 C.增加1/2倍 D. [F]与A不
A A B B C C D D E E
查看
单选
单项选择题 在双缝干涉实验中,入射光的波长为λ,用透明玻璃纸遮住双缝中的一条缝(靠近屏的一侧),若玻璃纸中光程比相同厚度的空气的光程大2.5λ,则屏上原来的明纹
A A B B C C D D E E
查看
单选
单项选择题 信息有多个特征,下列四条关于信息特征的叙述中,有错误的一条是()。 A.信息的可识别性,信息的可变性,信息的可流动性 B.信息的可处理性,信息的可存
A A B B C C D D E E
查看
单选
单项选择题 A.甲方案最优 B.乙方案最优 C.丙方案最优 D.由于缺少数据,无法确定各方案优劣
A A B B C C D D E E
查看
单选
单项选择题 设f(x)处处连续,且在x=x1处有f'(x1)=0,在x=x2处不可导,那么( )。 A.x=x1及x=x2都必不是f(x)的极值点 B.只有x=
A A B B C C D D E E
查看
单选
单项选择题
A A B B C C D D E E
查看
单选
单项选择题 在一定条件下,已建立平衡的某可逆反应,当改变反应条件使化学平衡向正反应方向移动时,下列有关叙述正确的是( )。 A.生成物的体枳分数一定增加 B.生
A A B B C C D D E E
查看
单选
单项选择题 如图7-10所示电路ab端口的等效电路为()。 A.70V与2.9Ω串联 B.-70V与2.93Ω串联 C.10V与2.9Ω串联 D.-70V与2.
A A B B C C D D E E
查看
单选
单项选择题 如图7-24所示电路中,在工频电压u(t)的激励下,电路的阻抗等于()。
A A B B C C D D E E
查看
刷题小程序
热门试卷
电气工程师《公共基础》模拟卷1
电气工程师《公共基础》模拟卷2
电气工程师《公共基础》模拟卷3
电气工程师《公共基础》模拟卷4
电气工程师《公共基础》模拟卷5
电气工程师《公共基础》模拟卷6
电气工程师《公共基础》模拟卷7
电气工程师《公共基础》模拟卷8
电气工程师《公共基础》预测卷1
电气工程师《公共基础》预测卷2
电气工程师《公共基础》预测卷3
电气工程师《公共基础》预测卷4
电气工程师《公共基础》预测卷5
电气工程师《公共基础》预测卷6