首页
考研
最新考研题库
中外美术史23新版
建筑类
二级建造师
一级建造师
一级造价工程师
监理工程师
安全工程师
一级消防工程师
消防设施操作员
医学类
主治类
执业药师
护师(初级)资格证考试
主管护师(中级)资格证考试
护士资格证考试
医师类
中药学类
金融类
基金从业资格
银行从业资格
证券从业资格
期货从业资格
银行招聘考试
财会类
初级经济师
中级经济师
初级会计师
中级会计师
注册会计师
税务师
资产评估师
教师类
中学教师笔试
小学教师笔试
幼儿教师笔试
幼儿结构化面试
幼儿专业面试
中小学结构化面试
学历提升
成考(专升本)
成考(高起本、高起专)
自考
网校课程
登录
注册好礼
我的主页
我的提问
我的回答
退出
当前位置:
首页
>
电气工程师公共基础(基础考试)
>
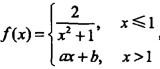
单项选择题 设函数,可导,则必有( )。 A. a = 1,b = 2 B. a = -1,b = 2 C. a = 1
单选
单项选择题 设函数
,可导,则必有( )。
A. a = 1,b = 2 B. a = -1,b = 2
C. a = 1,b = 0 D. a = -1,b = 0
A A
B B
C C
D D
E E
正确答案
D
查看解析
搜索
相关试题
单选
单项选择题 最概然速率Vp的物理意义是( )。 A. Vp是速率分布中最大速率 B. Vp是大多数分子的速率 C.在一定的温度下,速率与Vp相近的气体分子所占的
A A B B C C D D E E
查看
单选
单项选择题 某三相发电机每相绕组电压为220V,在连接成丫形时,如果误将两相绕组的末端X、Y与另一相的首端C连成一点(中点),此时电压UBC等于()V。 A.2
A A B B C C D D E E
查看
单选
单项选择题 在财务评价过程中,销售税金及附加不包括( )。 A.城市建设维护税 B.营业税 C.教育费附加 D.所得税
A A B B C C D D E E
查看
单选
单项选择题 关于互斥投资方案比选的说法中,正确的是( )。 A.在计算期相同时,可直接依据各方案的净现值大小比选 B.采用差额内部收益率法时,若差额内部收益率大
A A B B C C D D E E
查看
单选
单项选择题 图6-34中,水平不透水层上的细沙含水层渗透系数k,两廊道中水位为h1、h2, 相距l,则单宽渗流流量q是( )。
A A B B C C D D E E
查看
单选
单项选择题 下列函数中不是方程y''-2y'+y= 0的解的函数是( )。 A. x2ex B. ex C. xex D. (x+2)ex
A A B B C C D D E E
查看
单选
单项选择题 压强为p、体积为V的氢气(视为刚性分子理想气体)的内能为( )。 A. 5pV/2 B. 3pV/2 C. pV D.pV/2
A A B B C C D D E E
查看
单选
单项选择题 已知点沿半径为40cm的圆周运动,其运动规律为s=20t(s以厘米计,t以秒计)。 若t=ls,则点的速度与加速度的大小为( )。
A A B B C C D D E E
查看
单选
单项选择题 电路如图7-27所示,设流经电感元件的电流i=2sin1000tA,若L=1mH,则电感电压()。 A.uL=2sin1000tV B.uL=-2s
A A B B C C D D E E
查看
单选
单项选择题 设A是5×6矩阵,则( )正确。 A.若A中所有5阶子式均为0,则秩R(A)=4 B.若秩R(A)=4,则A中5阶子式均为0 C.若秩R(A)=4,
A A B B C C D D E E
查看
刷题小程序
热门试卷
电气工程师《公共基础》模拟卷1
电气工程师《公共基础》模拟卷2
电气工程师《公共基础》模拟卷3
电气工程师《公共基础》模拟卷4
电气工程师《公共基础》模拟卷5
电气工程师《公共基础》模拟卷6
电气工程师《公共基础》模拟卷7
电气工程师《公共基础》模拟卷8
电气工程师《公共基础》预测卷1
电气工程师《公共基础》预测卷2
电气工程师《公共基础》预测卷3
电气工程师《公共基础》预测卷4
电气工程师《公共基础》预测卷5
电气工程师《公共基础》预测卷6