首页
考研
最新考研题库
中外美术史23新版
建筑类
二级建造师
一级建造师
一级造价工程师
监理工程师
安全工程师
一级消防工程师
消防设施操作员
医学类
主治类
执业药师
护师(初级)资格证考试
主管护师(中级)资格证考试
护士资格证考试
医师类
中药学类
金融类
基金从业资格
银行从业资格
证券从业资格
期货从业资格
银行招聘考试
财会类
初级经济师
中级经济师
初级会计师
中级会计师
注册会计师
税务师
资产评估师
教师类
中学教师笔试
小学教师笔试
幼儿教师笔试
幼儿结构化面试
幼儿专业面试
中小学结构化面试
学历提升
成考(专升本)
成考(高起本、高起专)
自考
网校课程
登录
注册好礼
我的主页
我的提问
我的回答
退出
当前位置:
首页
>
电气工程师公共基础(基础考试)
>
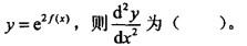
单项选择题 已知f(x)是二阶可导的函数,
单选
单项选择题 已知f(x)是二阶可导的函数,
A A
B B
C C
D D
E E
正确答案
D
查看解析
搜索
相关试题
单选
单项选择题 设f'(lnx) = 1 + x,则f(x)等于( )。
A A B B C C D D E E
查看
单选
单项选择题 用同一材料制成的空心圆轴和实心圆轴,若长度和横截面面积均相同,则扭转刚度较大的为()。 A.实心圆轴 B.空心圆轴 C. 二者一样 D.无法判断
A A B B C C D D E E
查看
单选
单项选择题 波长为λ=550nm (1nm=10-9m)的单色光垂直入射于光栅常数d=2×10-4cm的平面衍射光栅上,可能观察到光谱线的最高级次为( )。 A
A A B B C C D D E E
查看
单选
单项选择题 设3阶矩阵,已知A的伴随矩阵的秩为1,则a=( )。 A. -2 B. -1 C. 1 D. 2
A A B B C C D D E E
查看
单选
单项选择题 下列关于信号的说法,不正确的是()。 A.信号是信息的表现形式 B.时间信号可分为连续时间信号和数字信号 C.信号可分为周期信号和非周期信号 D.声
A A B B C C D D E E
查看
单选
单项选择题 苯乙烯与丁二烯反应后的产物是( )。 A.合成纤维 B. 丁苯橡胶 C.合成树脂 D.聚苯乙烯
A A B B C C D D E E
查看
单选
单项选择题 如图6-4所示,用U形水银压差计测量水管A、B两点的压强差,水银面高hp=10cm, A、B两点压强差为( )kPa。 A. 13.33 B. 12
A A B B C C D D E E
查看
单选
单项选择题 等于()。 A. sinx B. sinx C. -sin2x D. -sinx sinx
A A B B C C D D E E
查看
单选
单项选择题 幂级数的收敛域为()。 A. [-1,1) B. [4,6) C. [4,6] D. (4,6]
A A B B C C D D E E
查看
单选
单项选择题 如图5-9所示等直杆,杆长为3a,材料的拉压刚度为EA,受力如图示。问杆中点横截面的铅垂位移为( )。 A.0 B.Fa/EA C.2Fa/EA D
A A B B C C D D E E
查看
刷题小程序
热门试卷
电气工程师《公共基础》模拟卷1
电气工程师《公共基础》模拟卷2
电气工程师《公共基础》模拟卷3
电气工程师《公共基础》模拟卷4
电气工程师《公共基础》模拟卷5
电气工程师《公共基础》模拟卷6
电气工程师《公共基础》模拟卷7
电气工程师《公共基础》模拟卷8
电气工程师《公共基础》预测卷1
电气工程师《公共基础》预测卷2
电气工程师《公共基础》预测卷3
电气工程师《公共基础》预测卷4
电气工程师《公共基础》预测卷5
电气工程师《公共基础》预测卷6