首页
考研
最新考研题库
中外美术史23新版
建筑类
二级建造师
一级建造师
一级造价工程师
监理工程师
安全工程师
一级消防工程师
消防设施操作员
医学类
主治类
执业药师
护师(初级)资格证考试
主管护师(中级)资格证考试
护士资格证考试
医师类
中药学类
金融类
基金从业资格
银行从业资格
证券从业资格
期货从业资格
银行招聘考试
财会类
初级经济师
中级经济师
初级会计师
中级会计师
注册会计师
税务师
资产评估师
教师类
中学教师笔试
小学教师笔试
幼儿教师笔试
幼儿结构化面试
幼儿专业面试
中小学结构化面试
学历提升
成考(专升本)
成考(高起本、高起专)
自考
网校课程
登录
注册好礼
我的主页
我的提问
我的回答
退出
当前位置:
首页
>
电气工程师公共基础(基础考试)
>
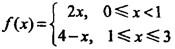
单项选择题 函数,在x→1 时,f(x)的极限是()。 A. 2 B. 3 C. 0 D.不存在
单选
单项选择题 函数
,在x→1 时,f(x)的极限是()。
A. 2 B. 3 C. 0 D.不存在
A A
B B
C C
D D
E E
正确答案
D
查看解析
搜索
相关试题
单选
单项选择题 杆AF、BE、EF、CD相互绞接并支承如图4-23所示,今在AF杆上作用一力偶(P,P'),若不计各杆自重,则A处约束力的方向为()。 A.过A点平
A A B B C C D D E E
查看
单选
单项选择题 下列分子中,键角最大的是( )。 A. NH3 B. H2S C. BeCl2 D. CCl4
A A B B C C D D E E
查看
单选
单项选择题 一束自然光垂直穿过两个偏振片,两个偏振片的偏振化方向成45°角。已知通过此两偏振片后的光强为I,则入射至第二个偏振片的线偏振光强度为( )。 A.
A A B B C C D D E E
查看
单选
单项选择题 某点的真空压强为65 000Pa,当地大气压为0.1MPa,该点的绝对压强为( )Pa。 A. 65 000 B. 55 000 C. 35 000
A A B B C C D D E E
查看
单选
单项选择题 不经计算,通过直接判定得出图4-27所示桁架中内力为零的杆数为( )。 A. 2根 B. 3根 C. 4根 D. 5根
A A B B C C D D E E
查看
单选
单项选择题 欲配制500mLpH=5.0的缓冲溶液,应选择下列哪种混合溶液较为合适。( )
A A B B C C D D E E
查看
单选
单项选择题 等截面直杆受轴向拉力F作用而产生弹性伸长,已知杆长为l,横截面面积为A,材料弹性模量为E,泊松比为v。根据拉伸理论,影响该杆横截面上应力的因素为()
A A B B C C D D E E
查看
单选
单项选择题 某人计划5年末购置一辆价格为75 000元的汽车,故每年年末向银行等额存款一次,已知年利率为5%,则此人每年末等额存 款应为( )元。 A. 13
A A B B C C D D E E
查看
单选
单项选择题 温度、压强相同的氦气和氧气,它们分子的平均平动动能和平均动能有如下关系( )。
A A B B C C D D E E
查看
单选
单项选择题 在IP协议中用来进行组播的IP地址是()地址。 A.D类 B.E类 C.B类 D.A类
A A B B C C D D E E
查看
刷题小程序
热门试卷
电气工程师《公共基础》模拟卷1
电气工程师《公共基础》模拟卷2
电气工程师《公共基础》模拟卷3
电气工程师《公共基础》模拟卷4
电气工程师《公共基础》模拟卷5
电气工程师《公共基础》模拟卷6
电气工程师《公共基础》模拟卷7
电气工程师《公共基础》模拟卷8
电气工程师《公共基础》预测卷1
电气工程师《公共基础》预测卷2
电气工程师《公共基础》预测卷3
电气工程师《公共基础》预测卷4
电气工程师《公共基础》预测卷5
电气工程师《公共基础》预测卷6