首页
考研
最新考研题库
中外美术史23新版
建筑类
二级建造师
一级建造师
一级造价工程师
监理工程师
安全工程师
一级消防工程师
消防设施操作员
医学类
主治类
执业药师
护师(初级)资格证考试
主管护师(中级)资格证考试
护士资格证考试
医师类
中药学类
金融类
基金从业资格
银行从业资格
证券从业资格
期货从业资格
银行招聘考试
财会类
初级经济师
中级经济师
初级会计师
中级会计师
注册会计师
税务师
资产评估师
教师类
中学教师笔试
小学教师笔试
幼儿教师笔试
幼儿结构化面试
幼儿专业面试
中小学结构化面试
学历提升
成考(专升本)
成考(高起本、高起专)
自考
网校课程
登录
注册好礼
我的主页
我的提问
我的回答
退出
当前位置:
首页
>
电气工程师公共基础(基础考试)
>
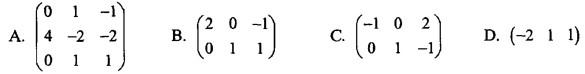
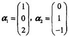
单项选择题 设A为矩阵,都是齐次线性方程组Ax=0的解,则矩阵A为( )。
单选
单项选择题 设A为矩阵,
都是齐次线性方程组Ax=0的解,则矩阵A为( )。
A A
B B
C C
D D
E E
正确答案
D
查看解析
搜索
相关试题
单选
单项选择题 A. a = 2,b = 8 B. a = 2,b = 5 C. a = 0,b = -8 D. a = 2,b = -8
A A B B C C D D E E
查看
单选
单项选择题 极限的值是( )。 A. t B. -t C. 1 D. -1
A A B B C C D D E E
查看
单选
单项选择题 微分方程的通解是( )。
A A B B C C D D E E
查看
单选
单项选择题 设α,β,γ都是非零向量,α×β=α×γ,则( )。 A. β=γ B. α//β 且α//γ C. α//(β-γ) D. α⊥(β-γ)
A A B B C C D D E E
查看
单选
单项选择题 设有一箱产品由三家工厂生产,第一家工厂生产总量的1/2,其他两厂各生产总量的1/4;又知各厂次品率分别为2%、2%、4%。现从此箱中任取一件产品,则
A A B B C C D D E E
查看
单选
单项选择题 如图6-3所示,在密闭容器上装有U形水银测压计,其中1、2、3点位于同一水平面上,2管中为气体,其压强关系为( )。 A.P1=P2=P3 B. P
A A B B C C D D E E
查看
单选
单项选择题 若压杆在两个方向上的约束情况不同,且μy>μz。那么该压杆的合理截面应满足的条件为( )。 A. Iy=Iz B. Iyz C.Iy>Iz D.λz
A A B B C C D D E E
查看
单选
单项选择题 如图5-37所示截面z2轴过半圆底边,则截面对z1、z2轴的关系为( )。 A. Iz1=Iz2 B. Iz1>Iz2 C. Iz1z2 D.不能确
A A B B C C D D E E
查看
单选
单项选择题 如图7-8所示,两电路相互等效,由图(b)知,流经10Ω电阻的电流IR=1A, 由此可求得流经图(a)电路中10Ω电阻的电流I等于( )。 A. 1
A A B B C C D D E E
查看
单选
单项选择题 在局域网中运行网络操作系统的是()。 A.网络工作站 B.网络服务器 C.网桥 D.网卡
A A B B C C D D E E
查看
刷题小程序
热门试卷
电气工程师《公共基础》模拟卷1
电气工程师《公共基础》模拟卷2
电气工程师《公共基础》模拟卷3
电气工程师《公共基础》模拟卷4
电气工程师《公共基础》模拟卷5
电气工程师《公共基础》模拟卷6
电气工程师《公共基础》模拟卷7
电气工程师《公共基础》模拟卷8
电气工程师《公共基础》预测卷1
电气工程师《公共基础》预测卷2
电气工程师《公共基础》预测卷3
电气工程师《公共基础》预测卷4
电气工程师《公共基础》预测卷5
电气工程师《公共基础》预测卷6