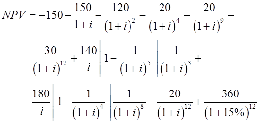
(1)财务净现值:

(2)内部收益率:

当i1=20%时,NPV1=44.98(万元);当i2=21%时,NPV2=-28.17(万元)。
运用插值法,则:
FIRR=i1+NPV1/(NPV1+|NPV2|)×(i2-i1)=20%+1%×44.98/(44.98+28.17)=20.61%
(3)动态投资回收期(计算见表6-11):

动态投资回收期=累计折现值开始出现正值的年数-1+(上年累计折现值的绝对值/当年净现金流量的折现值)=10-1+28.55/44.49=9.64(年)
(4)FIRR=20.61%>15%,FNPV>0,9.64年<10年,则项目在财务上是可行的。