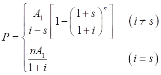
(1)计算等比序列现值系数的公式为:

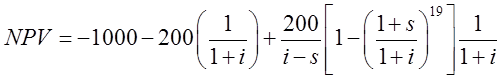
因为i=15%,s=5%,且i≠s,所以:

因为FNPV=256.42>0,则该项目投资可行。
(2)计算FIRR并判断项目投资的可行性:

当i1=17%时,NPV1=71.23万元;当i2=18%时,NPV2=-7.63万元。
根据插值法求得内部收益率为:
FIRR=i1+NPV1/(NPV1+|NPV2|)×(i2-i1)=17%+1%×71.23/(71.23+7.63)=17.90%。
因为FIRR=17.90%>15%,则该项目投资可行。
(3)计算实际收益率:已知Ra=17.90%,Rd=4%,根据公式(1+Ra)=(1+Rr)(1+Rd),则(1+17.90%)=(1+Rr)(1+4%),解得实际收益率Rr=13.37%。