首页
考研
最新考研题库
中外美术史23新版
建筑类
二级建造师
一级建造师
一级造价工程师
监理工程师
安全工程师
一级消防工程师
消防设施操作员
医学类
主治类
执业药师
护师(初级)资格证考试
主管护师(中级)资格证考试
护士资格证考试
医师类
中药学类
金融类
基金从业资格
银行从业资格
证券从业资格
期货从业资格
银行招聘考试
财会类
初级经济师
中级经济师
初级会计师
中级会计师
注册会计师
税务师
资产评估师
教师类
中学教师笔试
小学教师笔试
幼儿教师笔试
幼儿结构化面试
幼儿专业面试
中小学结构化面试
学历提升
成考(专升本)
成考(高起本、高起专)
自考
网校课程
登录
注册好礼
我的主页
我的提问
我的回答
退出
当前位置:
首页
>
房地产估价基础与实务
>
计算题 某家庭拟购买一套新房,并将原有住房出租。预计原有住房的净租金收入为每月2000元,资本化率为9.6%,假设租金和
分析
计算题 某家庭拟购买一套新房,并将原有住房出租。预计原有住房的净租金收入为每月2000元,资本化率为9.6%,假设租金和住房市场价值不随时间发生变化。该家庭希望实现“以租养房”,即每月的抵押贷款还款额不超过原有住房的租金收入。购买新房的最低首付款为房价的30%,余款申请年利率为6%的住房抵押贷款,按月等额还款,最长贷款年限为20年。问:
(1)该家庭能够购买最高总价为多少万元的新房?(精确到小数点后2位)
(2)设该家庭购买了这一最高总价的新房,并希望在还款一段时间之后,利用出售原有住房的收入一次性提前还清抵押贷款,问至少需要在还款多少个月(取整)后,再出售原有住房并还清贷款?
正确答案
已知A=2000元,n=240,i=6%/12=0.5%,R=9.6%。
(1)求购房最高总价:
贷款总额:
购房最高总价=P/70%=279161.54/70%=39.88(万元)。
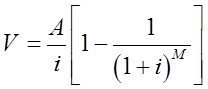
(2)求出售原有住房时,住房的市场价值:V=A×(12/R)=2000×(12/9.6%)=25(万元)。
设剩余M个月需要偿还25万元,则有:
代入具体数据可得:
解得:M=196.66(个月)。240-196.66=43.34(个月),根据题目要求需要取整数,所以,在还款44个月之后出售住房。
查看解析
搜索
相关试题
刷题小程序
热门试卷