首页
考研
最新考研题库
中外美术史23新版
建筑类
二级建造师
一级建造师
一级造价工程师
监理工程师
安全工程师
一级消防工程师
消防设施操作员
医学类
主治类
执业药师
护师(初级)资格证考试
主管护师(中级)资格证考试
护士资格证考试
医师类
中药学类
金融类
基金从业资格
银行从业资格
证券从业资格
期货从业资格
银行招聘考试
财会类
初级经济师
中级经济师
初级会计师
中级会计师
注册会计师
税务师
资产评估师
教师类
中学教师笔试
小学教师笔试
幼儿教师笔试
幼儿结构化面试
幼儿专业面试
中小学结构化面试
学历提升
成考(专升本)
成考(高起本、高起专)
自考
网校课程
登录
注册好礼
我的主页
我的提问
我的回答
退出
当前位置:
首页
>
房地产估价基础与实务
>
计算题 某家庭计划5年后购买一套120m2的新建住房,该家庭目前及未来5年的财务状况如下: (1)目前已准备用于购房的积
分析
计算题 某家庭计划5年后购买一套120m2的新建住房,该家庭目前及未来5年的财务状况如下:
(1)目前已准备用于购房的积蓄共50万元;
(2)该家庭月工资收入为12000元,预计将以每月0.5%的比例递增,该收入的50%储蓄用于购房;
(3)该家庭另有一套房产出租,每月净租金收入为1000元,全部储蓄用于购房。各项收入均为月末取得。
若5年后该家庭购房时首付款比例为50%,则在不出售目前房产且假设未来收入能满足还贷要求的情况下,该家庭可承受的最高住房单价是多少?(假设银行存款年利率为3%,按月计息)
正确答案
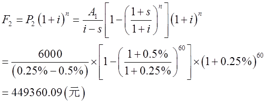
已知:i=3%/12=0.25%,n=5×12=60,s=0.5%,A1=12000×50%=6000(元),A2=1000元。
已准备用于购房积蓄5年后的终值:
工资收入用于购房的资金5年后的终值:
净租金收入5年后的终值:
则:F=F1+F2+F3=580808.39+449360.09+64646.71=1094815.19(元)。
可购住房总价为:1094815.19/50%=2189630.38(元);
可购住房单价为:2189630.38/120=18246.92(元/m2)。
查看解析
搜索
相关试题
刷题小程序
热门试卷