方法一:
(1)已知:该家庭每月能支付的房款A=6000×30%=1800(元),n=15×12=180(月),i=6%÷12=0.5%;
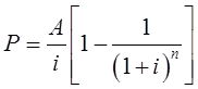
(2)该家庭能承受的抵押贷款额:P=A÷i[1-1÷(1+i)n],P=1800÷0.5%×[1-1÷(1+0.5%)180]=213306.33(元);
(3)该家庭能承受的购房总价值:V=213306.33÷80%=266633.91(元);
(4)该家庭的支付能力最多可以购买住宅面积S=266633.91÷3000=88.88(m2)。
方法二:
设可购买的面积为X,总房价为3000X(元),月还款额:6000×30%=1800(元),n=15×12=180(月),i=6%÷12=0.5%,则:

抵押贷款价值比例为80%,P=3000X·80%=2400X(元),则:2400X=1800/0.5%×[1-1/(1+0.5%)180],则X=88.88(m2)。