首页
考研
最新考研题库
中外美术史23新版
建筑类
二级建造师
一级建造师
一级造价工程师
监理工程师
安全工程师
一级消防工程师
消防设施操作员
医学类
主治类
执业药师
护师(初级)资格证考试
主管护师(中级)资格证考试
护士资格证考试
医师类
中药学类
金融类
基金从业资格
银行从业资格
证券从业资格
期货从业资格
银行招聘考试
财会类
初级经济师
中级经济师
初级会计师
中级会计师
注册会计师
税务师
资产评估师
教师类
中学教师笔试
小学教师笔试
幼儿教师笔试
幼儿结构化面试
幼儿专业面试
中小学结构化面试
学历提升
成考(专升本)
成考(高起本、高起专)
自考
网校课程
登录
注册好礼
我的主页
我的提问
我的回答
退出
当前位置:
首页
>
房地产估价基础与实务
>
计算题 张某于2005年1月1日以50万元购得一套住宅,购房款中60%来自银行提供的年利率为6%、期限为15年、按月等额
分析
计算题 张某于2005年1月1日以50万元购得一套住宅,购房款中60%来自银行提供的年利率为6%、期限为15年、按月等额偿还的个人住房抵押贷款。张某于2010年1月1日将此套住宅连同与之相关的抵押债务转让给李某。根据李某的要求,银行为其重新安排了还款方案:贷款期限从2010年1月1日至2019年12月31日,年利率为6%,按月等比递增式还款(月等比递增比率为0.2%)。问李某在新还款方案下的首次月还款额是多少?
正确答案
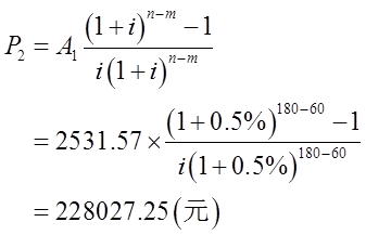
(1)抵押贷款额:P1=50×60%=30(万元)。月利率i=6%/12=0.5%,n=15×12=180。
(2)张某月还款额:
(3)2010年1月1日欠银行本金:
(4)李某首次月还款额:
查看解析
搜索
相关试题
刷题小程序
热门试卷