首页
考研
最新考研题库
中外美术史23新版
建筑类
二级建造师
一级建造师
一级造价工程师
监理工程师
安全工程师
一级消防工程师
消防设施操作员
医学类
主治类
执业药师
护师(初级)资格证考试
主管护师(中级)资格证考试
护士资格证考试
医师类
中药学类
金融类
基金从业资格
银行从业资格
证券从业资格
期货从业资格
银行招聘考试
财会类
初级经济师
中级经济师
初级会计师
中级会计师
注册会计师
税务师
资产评估师
教师类
中学教师笔试
小学教师笔试
幼儿教师笔试
幼儿结构化面试
幼儿专业面试
中小学结构化面试
学历提升
成考(专升本)
成考(高起本、高起专)
自考
网校课程
登录
注册好礼
我的主页
我的提问
我的回答
退出
当前位置:
首页
>
房地产估价基础与实务
>
计算题 某投资者购买了一间建筑面积为100m2的店铺用于出租经营,购买价格为180万元,一次性付款。购买后对该店铺进行装
分析
计算题 某投资者购买了一间建筑面积为100m2的店铺用于出租经营,购买价格为180万元,一次性付款。购买后对该店铺进行装修,装修期为1年,装修费用为60万元,装修完成后即出租。投资者要求的目标收益率为12%,动态投资回收期不长于16年,则假定该类店铺的经营费用占毛租金收入的30%,装修费用发生在年末,其他现金流量发生在年初。请计算满足投资者收益目标要求的店铺最低单位面积年租金,并画出该项目投资经营的现金流量图。
正确答案
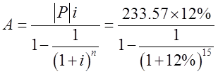
(1)设单位面积最低毛租金为x万元,则单位面积净租金收入为:x(1-30%)=0.7x;年净租金收入为:0.7x·100=70x。
将购买价和装修费折现:P=-180+(-60)/(1+i)=-180+(-60)/(1+12%)=-233.57(万元)。
动态投资回收期内,净租金收益的折现和的绝对值应等于P。
则有:
解得:x=4899.10(元/m2)。
(2)画出现金流量图,如图和图所示。
查看解析
搜索
相关试题
刷题小程序
热门试卷