首页
考研
最新考研题库
中外美术史23新版
建筑类
二级建造师
一级建造师
一级造价工程师
监理工程师
安全工程师
一级消防工程师
消防设施操作员
医学类
主治类
执业药师
护师(初级)资格证考试
主管护师(中级)资格证考试
护士资格证考试
医师类
中药学类
金融类
基金从业资格
银行从业资格
证券从业资格
期货从业资格
银行招聘考试
财会类
初级经济师
中级经济师
初级会计师
中级会计师
注册会计师
税务师
资产评估师
教师类
中学教师笔试
小学教师笔试
幼儿教师笔试
幼儿结构化面试
幼儿专业面试
中小学结构化面试
学历提升
成考(专升本)
成考(高起本、高起专)
自考
网校课程
登录
注册好礼
我的主页
我的提问
我的回答
退出
当前位置:
首页
>
房地产估价基础与实务
>
多选题 某投资者购买了一幢写字楼用于出租经营,购楼投资的60%来自银行提供的期限10年,年利率10%,按年等额还本付息的
多选
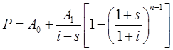
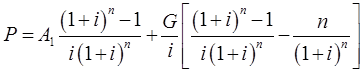
多选题 某投资者购买了一幢写字楼用于出租经营,购楼投资的60%来自银行提供的期限10年,年利率10%,按年等额还本付息的抵押贷款。假设写字楼的出租率一直稳定在85%,且净租金收入每年以6%的速度上涨(收入发生在期初),计划第10年末转售,投资者的期望收益率为10%。该写字楼资本金现金流量现值的计算所涉及的公式包括( )。
A.A=P[i(1+i)n]/[(1+i)n-1]
B.P=F/(1+i)n
C.P=nA1/(1+i)
D.?
E.?
A A
B B
C C
D D
E E
正确答案
ABD
查看解析
搜索
相关试题
刷题小程序
热门试卷