(1)设该在建工程的正常购买总价为V
(2)该在建工程续建完成后的总价值:
①总建筑面积=2000×5.1=10200(m2);
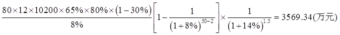
②续建完成后的总价值计算公式:(a/r)×[1-1/(1+r)n]×1/(1+rd)t;
③续建完成后的总价值:

(3)续建总费用:2500×10200×55%/(1+14%)0.75=1271.23(万元);
(4)购买该在建工程的税费总额=V×5%=0.05V;
(5)该在建工程的正常购买总价V=3569.34-1271.23-0.05V,则V=2188.68(万元);
(6)按建成后的建筑面积折算的单价=2188.68/1.0200=2145.76(元/m2)。