(1)用收益法计算收益价格。
①计算有效毛收入:
第一年有效毛收入=180×400×365×50%÷10000+500=1814.00(万元);
第二年有效毛收入=180×400×365×60%÷10000+500×(1+5%)=2101.80(万元);
第三年有效毛收入=180×400×365×70%÷10000+500×(1+5%)2=2390.85(万元);
第四年有效毛收入=180×400×365×80%÷10000+500×(1+5%)3=2681.21(万元)。
②计算运营费用:
第一年运营费用=1814×35%=634.90(万元);
第二年运营费用=634.9+(2101.8-1814)×25%=706.85(万元);
第三年运营费用=634.9+(2390.85-1814)×25%=779.11(万元);
第四年运营费用=634.9+(2681.21-1814)×25%=851.7(万元)。
③计算净收益:
第一年净收益=第一年有效毛收入-第一年运营费用=1179.10(万元);
第二年净收益=第二年有效毛收入-第二年运营费用=1394.95(万元);
第三年净收益=第三年有效毛收入-第三年运营费用=1611.74(万元);
第四年净收益=第四年有效毛收入-第四年运营费用=1829.51(万元)。
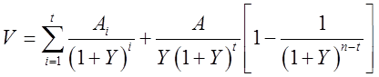
④计算收益价格:
收益期限为:40-2=38(年)。
利用净收益在前若干年有变化公式:
代入数据可得:

(2)用成本法计算市场价格V。
建筑面积=10000×2=20000(m2)。
①土地成本=20000×1750×(1+4%)=3640(万元);
②开发成本及管理费=3000×20000×(1+10%)=66000000(元)=6600(万元);
③销售费用=400(万元);
④投资利息=3640×[(1+8%)2-1]+6600×60%×[(1+8%)1.5-1]+6600×40%×[(1+8%)0.5-1]+400×[(1+8%)0.25-1]=1201.616(万元);
⑤开发利润=40%×(3640+6600+400)=4256(万元);
则V=土地成本+开发成本及管理费+销售费用+投资利息+开发利润=16097.62(万元)。
【说明】①此题未说明建筑物剩余经济寿命是个缺陷,在确定收益期限和收益价格时依据不充分。②未说明是否有销售税费、其他工程费、开发期间税费、基础设施建设费和公共配套设施建设费,也未说明是否有除广告宣传费外的销售费用。③注意家具费不应计入成本,家具是动产,其价格不能计入不动产价格中。