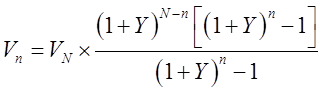
(1)求取未来35年的净收益的现值之和:

则:

(2)计算建筑物的重置成本:
①建造成本=600(万元);
②管理费用=600×3%=18(万元);
③投资利息=(600+18)×40%×[(1+6%)1.5-1]+(600+18)×60%×[(1+6%)0.5-1]=33.54(万元);
④销售税费=90(万元);
⑤开发利润=120(万元)。
则建筑物的重置成本=600+18+33.54+90+120=861.54(万元)。
(3)计算建筑物的折旧额:
①墙、地面等损坏的修复费用=8(万元);
②装修部分的折旧费=140×3÷5=84(万元);
③设备部分的折旧费=100×3÷10=30(万元);
④长寿命项目的折旧费=(861.54-8-140-100)×3÷(40-2)=48.44(万元);
则该建筑物的折旧总额=(8+84+30+48.44)=170.44(万元)。
(4)该宗房地产现时的价格=建筑物的重置成本-建筑物的折旧总额+土地价格=861.54-170.44+390.94=1082.04(万元)。