本题的估价对象是未来16年后的28年的土地使用权和房屋所有权在今天的价值,应采用收益还原法进行估价。
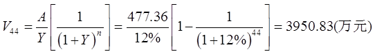
(1)求取未来44年的净收益的现值之和:
年净收益=120×6000×85%×(1-35%)×12=4773600(元)=477.36(万元);

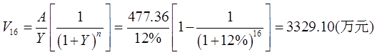
(2)求取未来16年的净收益的现值之和:
年净收益=120×6000×85%×(1-35%)×12=4773600(元)=477.36(万元);

(3)求取未来16年后的28年的土地使用权和房屋所有权在今天的价值:
V28=V44-V16=3950.83-3329.10=621.73(万元)。