(1)计算平均每月抵押贷款额度A。
利用公式:V=(A/Y)[1-1/(1+Y)n],求得:A=(200×8%/12)÷[1-(1+8%/12)-60]=4.06(万元)。
已抵押贷款余额=(A/i)[1-1/(1+Y)n]=[4.06/(8%/12)]×[1-(1+8%/12)-20]=75.78(万元)
(2)计算在2009年10月18日的未设立法定优先受偿款的价格V。
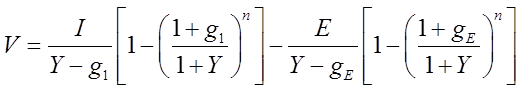
用净收益按一定比率递增的变形公式:

可得:V=50/(7%-5%)×{1-[(1+5%)/(1+7%)]36}-26/(7%-3%)×{1-[(1+3%)/(1+7%)]36]}=747.43(万元)。
根据:再次抵押价值=未设立法定优先受偿权下的价值-拖欠建设工程价款-(已抵押贷款余额/社会一般贷款成数)-其他法定优先受偿款,可知:
该商铺在2009年10月18日的再次抵押价值=V-0-75.78/0.6-0=747.43-126.3=621.13(万元)。