首页
考研
最新考研题库
中外美术史23新版
建筑类
二级建造师
一级建造师
一级造价工程师
监理工程师
安全工程师
一级消防工程师
消防设施操作员
医学类
主治类
执业药师
护师(初级)资格证考试
主管护师(中级)资格证考试
护士资格证考试
医师类
中药学类
金融类
基金从业资格
银行从业资格
证券从业资格
期货从业资格
银行招聘考试
财会类
初级经济师
中级经济师
初级会计师
中级会计师
注册会计师
税务师
资产评估师
教师类
中学教师笔试
小学教师笔试
幼儿教师笔试
幼儿结构化面试
幼儿专业面试
中小学结构化面试
学历提升
成考(专升本)
成考(高起本、高起专)
自考
网校课程
登录
注册好礼
我的主页
我的提问
我的回答
退出
当前位置:
首页
>
注册环保工程师 - 专业基础
>
关于明渠流动,下列说法不正确的是( )。
单选
关于明渠流动,下列说法不正确的是( )。
A A.明渠恒定均匀流基本公式为
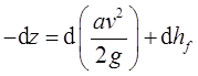
B B.恒定明渠均匀流渐变流动的基本微分公式为
C C.水力最优断面就是渠道的经济断面
D D.在设计渠道时,应使过水断面的平均流速在各种允许范围之内,这样的渠道流速称为允许流速
正确答案
C
查看解析
搜索
相关试题
单选
管道层流和紊流流速分布分别为( )。
A 抛物线分布和对数分布 B 抛物线分布和直线分布 C 对数分布和抛物线分布 D 对数分布和直线分布
查看
单选
各并管水头损失相等,只表明( )。
A 各支管水流单位时间总机械能相等 B 单位重量液体机械能损失相等 C 各支管水流单位时间总动能相等 D 单位重量液体动能损失相等
查看
单选
如图所示简单管路,已知l=300m,d=200mm,λ=0.025,H=5m,试求管中流量Q。( )
A 70.0L/s B 50.8L/s C 100.0L/s D 40.0L/s
查看
单选
生化需氧量是指在有溶解氧的条件下( )。
A 好氧微生物在分解有机物的生物化学氧化过程中所消耗的溶解氧量 B 好氧微生物在分解有机物的生物化学氧化过程中所消耗的氧化剂量 C 好氧微生物在分解有机物的生物化学氧化过程中所消耗的微生物量 D 好氧微生物在分解有机物的生物化学氧化过程中所消耗的溶解氧和微生物量总和
查看
单选
编制城市生态环境规划的中心环节是( )。
A 确定规划目标 B 生态环境调查与计划 C 生态环境预测 D 制定生态环境保护措施
查看
单选
锅炉增容并技改,现有锅炉未加脱硫设施,其SO2排放量为200t/a,增容后,排放量为250t/a,技改后SO2排放量为80t/a,工程以新代老的削减量为( )。
A 170t/a B 120t/a C 136t/a D 150t/a
查看
单选
关于缺氧好氧(A/O)工艺,下列说法错误的是( )。
A 硝化菌一般为异养型微生物 B 需要有混合液回流 C 在冬季低温季节,可考虑提高水力停留时间 D 可以用化学除磷
查看
单选
以下过程中,属于水体自净主导过程的是( )。
A 生物化学净化过程 B 氧化还原过程 C 化学净化过程 D 生物净化过程
查看
单选
用哪几个参数对机械除尘器的性能评价?( )
A Q,Δp,η B Q,p,η C Q,Δp,T D Q,η,T
查看
单选
根据《中华人民共和国水污染防治法》,对于以下违规行为处以10万元以上50万元以下罚款不包括的是( )。
A 在饮用水水源准保护区,组织旅游、游泳、垂钓 B 在饮用水水源二级保护区,新建、改建、扩建排放污染物建设项目 C 在饮用水水源一级保护区,新建、改建、扩建供水设施和保护水资源无关的建设项目 D 在饮用水水源准保护区,新建、扩建水体污染严重项目,并增加改建项目排污量
查看
刷题小程序
热门试卷
2017年注册环保工程师《专业基础知识》真题
2018年注册环保工程师《专业基础知识》真题
2019年注册环保工程师《专业基础知识》真题
2020年注册环保工程师《专业基础知识》真题
2021年注册环保工程师《专业基础知识》真题
2022年注册环保工程师《专业基础知识》真题
2023年注册环保工程师《专业基础知识》真题
2024年注册环保工程师《专业基础知识》真题