首页
考研
最新考研题库
中外美术史23新版
建筑类
二级建造师
一级建造师
一级造价工程师
监理工程师
安全工程师
一级消防工程师
消防设施操作员
医学类
主治类
执业药师
护师(初级)资格证考试
主管护师(中级)资格证考试
护士资格证考试
医师类
中药学类
金融类
基金从业资格
银行从业资格
证券从业资格
期货从业资格
银行招聘考试
财会类
初级经济师
中级经济师
初级会计师
中级会计师
注册会计师
税务师
资产评估师
教师类
中学教师笔试
小学教师笔试
幼儿教师笔试
幼儿结构化面试
幼儿专业面试
中小学结构化面试
学历提升
成考(专升本)
成考(高起本、高起专)
自考
网校课程
登录
注册好礼
我的主页
我的提问
我的回答
退出
当前位置:
首页
>
注册环保工程师 - 专业基础
>
单选题 平均声级计算公式是( )。
单选
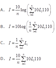
单选题 平均声级计算公式是( )。
A A
B B
C C
D D
E E
正确答案
B
查看解析
搜索
相关试题
单选
明渠流坡度、边坡材料相同、过流断面相等的情况下,下列哪个断面形状流速最大?( )
A A.半圆形 B B.矩形 C C.梯形 D D.三角形
查看
单选
在宽4.0m的矩形渠道上,通过的流量Q=50m3/s。渠流作均匀流时,正常水深H=4m,渠中水流流态为( )。
A A.急流 B B.缓流 C C.层流 D D.临界流
查看
单选
水平放置的渐扩管如图所示,如果忽略水头损失,下列断面形心处的压强关系正确的是( )。
A A.p1>p2 B B.p1=p2 C C.p1<p2 D D.不能确定
查看
单选
管道直径d=200mm,流量Q=90L/s,水力坡度s=0.46,管道的沿程阻力数为( )。
A A.0.0219 B B.0.00219 C C.0.219 D D.2.19
查看
单选
已知作用水头为H,直径d相等,孔口出流流量Q与外伸管嘴流量Qm比较( )。
A A.Q>Qm B B.Q=Qm C C.Q<Qm D D.无法判断
查看
单选
在射流全体段中,各断面上速度分布呈( )。
A A.抛物线 B B.均匀 C C.线性(中心大,边缘为0) D D.满足相似规律
查看
单选
革兰氏染色中,用于脱色和复染的染料分别为( )。
A A.酒精和蕃红 B B.美蓝和刚果红 C C.美蓝和蕃红 D D.结晶紫和蕃红
查看
单选
当有机物排入河流后,寡污带系统的指示生物具有以下哪项特征?( )
A A.以厌氧菌和兼性厌氧菌为主 B B.细菌数量较多 C C.细菌数量少,藻类大量繁殖,水生植物出现 D D.有鱼腥草、硅藻等,钟虫、变形虫等原生动物,旋轮虫等微型后生动物
查看
单选
生物固氮是固氮微生物的特殊生理功能。已知的固氮微生物均为( )。
A A.真核生物 B B.原核生物 C C.真核生物与原核生物 D D.真菌
查看
单选
在同一个水样中,下列哪一项最能表现水中有机物总量?( )
A A.CODmn B B.BOD C C.TOC D D.CODcr
查看
刷题小程序
热门试卷
2017年注册环保工程师《专业基础知识》真题
2018年注册环保工程师《专业基础知识》真题
2019年注册环保工程师《专业基础知识》真题
2020年注册环保工程师《专业基础知识》真题
2021年注册环保工程师《专业基础知识》真题
2022年注册环保工程师《专业基础知识》真题
2023年注册环保工程师《专业基础知识》真题
2024年注册环保工程师《专业基础知识》真题