首页
考研
最新考研题库
中外美术史23新版
建筑类
二级建造师
一级建造师
一级造价工程师
监理工程师
安全工程师
一级消防工程师
消防设施操作员
医学类
主治类
执业药师
护师(初级)资格证考试
主管护师(中级)资格证考试
护士资格证考试
医师类
中药学类
金融类
基金从业资格
银行从业资格
证券从业资格
期货从业资格
银行招聘考试
财会类
初级经济师
中级经济师
初级会计师
中级会计师
注册会计师
税务师
资产评估师
教师类
中学教师笔试
小学教师笔试
幼儿教师笔试
幼儿结构化面试
幼儿专业面试
中小学结构化面试
学历提升
成考(专升本)
成考(高起本、高起专)
自考
网校课程
登录
注册好礼
我的主页
我的提问
我的回答
退出
当前位置:
首页
>
注册环保工程师 - 专业基础
>
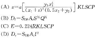
单选题 水土流失的预报模型中哪个模型是经验模型( )。
单选
单选题 水土流失的预报模型中哪个模型是经验模型( )。
A A
B B
C C
D D
E E
正确答案
C
查看解析
搜索
相关试题
单选
单选题 下列哪项不属于环境影响评价的基本功能( )。 A 判断功能 B 预测功能 C 选择功能 D 决策功能
A A B B C C D D E E
查看
单选
单选题 环境影响报告书经( ),计划部门方可批准建设项目设计任务书。 A 批准前 B 批准过程中 C 批准后 D 经项目主管部门预审后
A A B B C C D D E E
查看
单选
单选题 下列哪一项不是工程分析应遵循的技术原则( )。 A 体现政策性 B 具有针对性 C 应为各专题评价提供定量而准确的基础资料 D 提出污染防治措施
A A B B C C D D E E
查看
单选
单选题 省级人民政府依法可以对国家标准中未作规定的项目规定( )。 A 地方环境标准样品标准 B 地方污染物排放标准 C 地方环保基础标准 D 地方环保方法标准
A A B B C C D D E E
查看
单选
单选题 对于二级评价项目,对其所在地区气象资料的调查期间,至少应为最近( )年。 A 1 B 2 C 3 D 4
A A B B C C D D E E
查看
单选
单选题 在下列哪些区域,不得新建排污口( )。 A 农业用水区域 B 生活饮用水地表水源二级保护区 C 运河 D 重要渔业水域
A A B B C C D D E E
查看
单选
单选题 可能造成重大环境影响的,应当编制( ),对产生的环境影响进行全面评价。 A 环境影响报告书 B 环境影响登记表 C 环境影响报告表 D 环境影响评价文件
A A B B C C D D E E
查看
单选
单选题 下列哪种说法正确( )? A 当类比对象与研究对象在工程特征、排污特征以及环境特点具有相似性时,方可应用类比法 B 物料衡算法主要适用于有组织污染物排放
A A B B C C D D E E
查看
单选
单选题 关于环境空气监测因子说法正确的是( )。 A 凡项目排放的污染物属于常规污染物的应筛选为监测因子 B 凡项目排放的特征污染物只有国家标准时才可选为监测因
A A B B C C D D E E
查看
单选
单选题 在进行环境影响评价时,往往是将开发活动所增加的值叠加在( )上,再与相应的环境质量标准进行比较、评价该开发活动所产生的影响程度,以采取必要的污染防治措施
A A B B C C D D E E
查看
刷题小程序
热门试卷
注册环保工程师《专业基础知识》模拟卷1
注册环保工程师《专业基础知识》模拟卷2
注册环保工程师《专业基础知识》模拟卷3
注册环保工程师《专业基础知识》模拟卷4
注册环保工程师《专业基础知识》预测卷1
注册环保工程师《专业基础知识》预测卷2
注册环保工程师《专业基础知识》预测卷3
注册环保工程师《专业基础知识》预测卷4