首页
考研
最新考研题库
中外美术史23新版
建筑类
二级建造师
一级建造师
一级造价工程师
监理工程师
安全工程师
一级消防工程师
消防设施操作员
医学类
主治类
执业药师
护师(初级)资格证考试
主管护师(中级)资格证考试
护士资格证考试
医师类
中药学类
金融类
基金从业资格
银行从业资格
证券从业资格
期货从业资格
银行招聘考试
财会类
初级经济师
中级经济师
初级会计师
中级会计师
注册会计师
税务师
资产评估师
教师类
中学教师笔试
小学教师笔试
幼儿教师笔试
幼儿结构化面试
幼儿专业面试
中小学结构化面试
学历提升
成考(专升本)
成考(高起本、高起专)
自考
网校课程
登录
注册好礼
我的主页
我的提问
我的回答
退出
当前位置:
首页
>
注册环保工程师 - 专业基础
>
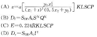
单选题 水土流失的预报模型中哪个模型是经验模型( )。
单选
单选题 水土流失的预报模型中哪个模型是经验模型( )。
A A
B B
C C
D D
E E
正确答案
C
查看解析
搜索
相关试题
单选
单选题 在细菌的生长曲线中,哪一时期细胞开始积累贮存性物质( )。 A 停滞期 B 对数期 C 稳定期 D 衰亡期
A A B B C C D D E E
查看
单选
单选题 在碳循环中,无机环境和生物群落相联系的生理作用是( )。 ①光合作用②呼吸作用③蒸腾作用④化能合成作用 A ①② B ①②④ C ②③① D ②③
A A B B C C D D E E
查看
单选
单选题 古生菌能在极端条件下生存的根本原因在于( )。 A 古生菌的细胞壁很厚 B 古生菌细胞内含有大量的异染颗粒 C 古生菌体内的酶能够在其所生存的极端条件下
A A B B C C D D E E
查看
单选
单选题 使用最广泛的离子交换剂是( )。 A 沸石 B 磺化酶 C 离子交换树脂 D 磷酸钙
A A B B C C D D E E
查看
单选
单选题 关于环境空气评价范围哪种说法不正确( ) A 大气环境影响评价范围是根据项目排放污染物的最远影响范围而确定的 B 以排放源为中心点,以D10%为半径的圆
A A B B C C D D E E
查看
单选
单选题 天然水体或生物处理构筑物中的氨化菌、亚硝酸菌和硝酸菌的关系是( )。 A 拮抗关系 B 共生关系 C 寄生关系 D 互生关系
A A B B C C D D E E
查看
单选
单选题 判断建设项目排污口附近河段是大河的依据是,流量( )。 A 大于100m3/s B 大于150m3/s C 大于200m3/s D 15~100m3/s
A A B B C C D D E E
查看
单选
蓝细菌属于( )微生物。
A A、光能自养型 B B、光能异养型 C C、化能自养型 D D、化能异养型
查看
单选
单选题 关于氮氧化物的描述正确的是( )。 A 氮和氧的化合物有N2O、NO、NO2、N2O2、N2O4、N2O5,总起来用氮氧化物(NOx)表示 B 人类活动
A A B B C C D D E E
查看
单选
单选题 纤毛虫的营养类型是( )。 A 动物性营养 B 植物性营养 C 腐生性营养 D 无机营养
A A B B C C D D E E
查看
刷题小程序
热门试卷
注册环保工程师《专业基础知识》模拟卷1
注册环保工程师《专业基础知识》模拟卷2
注册环保工程师《专业基础知识》模拟卷3
注册环保工程师《专业基础知识》模拟卷4
注册环保工程师《专业基础知识》预测卷1
注册环保工程师《专业基础知识》预测卷2
注册环保工程师《专业基础知识》预测卷3
注册环保工程师《专业基础知识》预测卷4