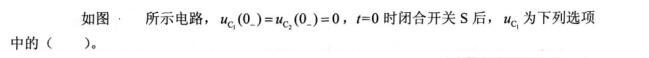
单选

单选题

A A
B B
C C
D D
E E

正确答案
A
查看解析

相关试题

刷题小程序
注册环保工程师 - 公共基础题库小程序