首页
考研
最新考研题库
中外美术史23新版
建筑类
二级建造师
一级建造师
一级造价工程师
监理工程师
安全工程师
一级消防工程师
消防设施操作员
医学类
主治类
执业药师
护师(初级)资格证考试
主管护师(中级)资格证考试
护士资格证考试
医师类
中药学类
金融类
基金从业资格
银行从业资格
证券从业资格
期货从业资格
银行招聘考试
财会类
初级经济师
中级经济师
初级会计师
中级会计师
注册会计师
税务师
资产评估师
教师类
中学教师笔试
小学教师笔试
幼儿教师笔试
幼儿结构化面试
幼儿专业面试
中小学结构化面试
学历提升
成考(专升本)
成考(高起本、高起专)
自考
网校课程
登录
注册好礼
我的主页
我的提问
我的回答
退出
当前位置:
首页
>
注册环保工程师 - 公共基础
>
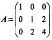
单项选择题 已知矩阵,则A的秩r(A)等于( )。 A. 0 B. 1 C. 2 D. 3
单选
单项选择题 已知矩阵
,则A的秩r(A)等于( )。
A. 0 B. 1 C. 2 D. 3
A A
B B
C C
D D
E E
正确答案
C
查看解析
搜索
相关试题
单选
单项选择题 在双缝干涉实验中,入射光的波长为λ,用透明玻璃纸遮住双缝中的一条缝(靠近屏的一侧),若玻璃纸中光程比相同厚度的空气的光程大2.5λ,则屏上原来的明纹
A A B B C C D D E E
查看
单选
单项选择题 在下列的操作系统中,属于多用户操作系统的是()。 A.DOS B.WindowsXP C.Windows2000 D.UNIX
A A B B C C D D E E
查看
单选
单项选择题 将f(x)=1/(2-x)展开为x的幂级数,其收敛域为( )。 A. (-1,1) B. (-2,2) C.〔-1/2,1/2) D. (-∞,+∞
A A B B C C D D E E
查看
单选
单项选择题 总成本费用等于( )。 A.固定成本+可变成本 B.固定成本+经营成本 C.可变成本+经营成本 D.经营成本+期间费用
A A B B C C D D E E
查看
单选
单项选择题 求过点M(3,-2,1)且与直线平行的直线方程是()。
A A B B C C D D E E
查看
单选
单项选择题 水平放置的渐扩管如图6-14所示,如忽略水头损失,断面形心点的压强有以下关系( )。 A. P1>P2 B. P1=P2 C. P12 D.不定
A A B B C C D D E E
查看
单选
单项选择题 一束白光垂直照射在一光栅上,在形成的第一级光栅光谱中,最靠近中央明纹的是( )。 A.紫光 B.绿光 C.黄光 D.红光
A A B B C C D D E E
查看
单选
单项选择题 条件同上题,大气压强为98kPa,则容器内水面上的相对压强为( )kPa。 A. 71.3 B. -71.3 C. 26.7 D. -26.7
A A B B C C D D E E
查看
单选
单项选择题 如图7-10所示电路ab端口的等效电路为()。 A.70V与2.9Ω串联 B.-70V与2.93Ω串联 C.10V与2.9Ω串联 D.-70V与2.
A A B B C C D D E E
查看
单选
单项选择题 某一单位内(如学校)的一个计算机网络属于()。 A.广域网 B.局域网 C.城域网 D.校园网
A A B B C C D D E E
查看
刷题小程序
热门试卷
注册环保工程师《公共基础考试》模考卷1
注册环保工程师《公共基础考试》模考卷2
注册环保工程师《公共基础考试》模考卷3
注册环保工程师《公共基础考试》模考卷4
注册环保工程师《公共基础考试》预测卷1
注册环保工程师《公共基础考试》预测卷2
注册环保工程师《公共基础考试》预测卷3
注册环保工程师《公共基础考试》预测卷4