首页
考研
最新考研题库
中外美术史23新版
建筑类
二级建造师
一级建造师
一级造价工程师
监理工程师
安全工程师
一级消防工程师
消防设施操作员
医学类
主治类
执业药师
护师(初级)资格证考试
主管护师(中级)资格证考试
护士资格证考试
医师类
中药学类
金融类
基金从业资格
银行从业资格
证券从业资格
期货从业资格
银行招聘考试
财会类
初级经济师
中级经济师
初级会计师
中级会计师
注册会计师
税务师
资产评估师
教师类
中学教师笔试
小学教师笔试
幼儿教师笔试
幼儿结构化面试
幼儿专业面试
中小学结构化面试
学历提升
成考(专升本)
成考(高起本、高起专)
自考
网校课程
登录
注册好礼
我的主页
我的提问
我的回答
退出
当前位置:
首页
>
注册环保工程师 - 公共基础
>
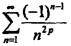
单项选择题 级数 ( )。 A.当p>1/2时,绝对收敛 B.当p>1/2时,条件收敛 C.当0
单选
单项选择题 级数
( )。
A.当p>1/2时,绝对收敛 B.当p>1/2时,条件收敛
C.当0
A A
B B
C C
D D
E E
正确答案
A
查看解析
搜索
相关试题
单选
单项选择题 如图7-51所示的各电路能正常放大交流信号的是()。
A A B B C C D D E E
查看
单选
单项选择题 计算机的存储器的主要功能是()。 A.存储程序和数据 B.存储程序 C.自动计算 D.处理数据程序
A A B B C C D D E E
查看
单选
单项选择题 1mol刚性双原子分子理想气体,当温度为T时,其内能为( )(式中R为摩尔气体常量,k为玻耳兹曼常量)。
A A B B C C D D E E
查看
单选
单项选择题 下列反应能自发进行: (1) 2Fe3++ Cu = 2Fe2++Cu2+ (2) Cu2++Fe = Fe2++Cu 由此比较的代数值大小顺序为(
A A B B C C D D E E
查看
单选
单项选择题 一束波长为λ的单色光由空气垂直入射到折射率为n的透明薄膜上,透明薄膜放在空气中,要使反射光得到干涉加强,则薄膜最小的厚度为()。 A.λ/4 B.λ
A A B B C C D D E E
查看
单选
单项选择题 负有安全生产监督管理职责的部门依法对生产经营单位执行有关安全生产的法 律、法规、国家标准或者行业标准的情况进行监督检查的职权不包括( )。 A.对生
A A B B C C D D E E
查看
单选
单项选择题 等截面直杆受轴向拉力F作用而产生弹性伸长,已知杆长为l,横截面面积为A,材料弹性模量为E,泊松比为v。根据拉伸理论,影响该杆横截面上应力的因素为()
A A B B C C D D E E
查看
单选
单项选择题 有两种理想气体,第一种的压强记作p1,体积记作V1,温度记作T1,总质量记作m1 , 摩尔质量记作M1;第二种的压强记作p2,体积记作V2,温度记作
A A B B C C D D E E
查看
单选
单项选择题 如图5-9所示等直杆,杆长为3a,材料的拉压刚度为EA,受力如图示。问杆中点横截面的铅垂位移为( )。 A.0 B.Fa/EA C.2Fa/EA D
A A B B C C D D E E
查看
单选
单项选择题 县级以上各级人民政府应当按照( )的原则,加强农业和农村节能工作,增 加对农业和农村节能技术、节能产品推广应用的资金投入。 A.因地制宜多能互补 B
A A B B C C D D E E
查看
刷题小程序
热门试卷
注册环保工程师《公共基础考试》模考卷1
注册环保工程师《公共基础考试》模考卷2
注册环保工程师《公共基础考试》模考卷3
注册环保工程师《公共基础考试》模考卷4
注册环保工程师《公共基础考试》预测卷1
注册环保工程师《公共基础考试》预测卷2
注册环保工程师《公共基础考试》预测卷3
注册环保工程师《公共基础考试》预测卷4