首页
考研
最新考研题库
中外美术史23新版
建筑类
二级建造师
一级建造师
一级造价工程师
监理工程师
安全工程师
一级消防工程师
消防设施操作员
医学类
主治类
执业药师
护师(初级)资格证考试
主管护师(中级)资格证考试
护士资格证考试
医师类
中药学类
金融类
基金从业资格
银行从业资格
证券从业资格
期货从业资格
银行招聘考试
财会类
初级经济师
中级经济师
初级会计师
中级会计师
注册会计师
税务师
资产评估师
教师类
中学教师笔试
小学教师笔试
幼儿教师笔试
幼儿结构化面试
幼儿专业面试
中小学结构化面试
学历提升
成考(专升本)
成考(高起本、高起专)
自考
网校课程
登录
注册好礼
我的主页
我的提问
我的回答
退出
当前位置:
首页
>
注册环保工程师 - 公共基础
>
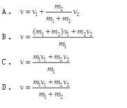
单选题 如图所示质量为m1的小车以速度v1在水平路面上缓慢行驶,若在小车上将一质量为m2的货物以相对于小车的速度v2水平
单选
单选题 如图所示质量为m1的小车以速度v1在水平路面上缓慢行驶,若在小车上将一质量为m2的货物以相对于小车的速度v2水平抛出,不计地面阻力,则此时小车速度v的大小为( )。
A A
B B
C C
D D
E E
正确答案
A
查看解析
搜索
相关试题
单选
单选题
A A B B C C D D E E
查看
单选
A A.1/2 B B.2 C C.7/3 D D.3/7
查看
单选
单选题
A A B B C C D D E E
查看
单选
单选题 过坐标原点作曲线y=lnx的切线,该切线与曲线y=lnx及x轴围成平面图形D。D的面积A和D绕直线x=e旋转一周所得旋转体的体积V分别为( )。
A A B B C C D D E E
查看
单选
单选题
A A B B C C D D E E
查看
单选
A A.处处可导 B B.恰有一个不可导点 C C.恰有两个不可导点 D D.至少有三个不可导点
查看
单选
A A.连续的奇函数 B B.连续的偶函数 C C.在x=0间断的奇函数 D D.在x=0间断的偶函数
查看
单选
单选题 设f(x)在区间[-a,a](a>0)上具有二阶连续导数,f(0)=0。f(x)的带拉格朗日余项的一阶麦克劳林公式为( )。
A A B B C C D D E E
查看
单选
单选题
A A B B C C D D E E
查看
单选
单选题 化二次积分 为极坐标系下的二次积分( )。
A A B B C C D D E E
查看
刷题小程序
热门试卷
注册环保工程师《公共基础考试》模考卷1
注册环保工程师《公共基础考试》模考卷2
注册环保工程师《公共基础考试》模考卷3
注册环保工程师《公共基础考试》模考卷4
注册环保工程师《公共基础考试》预测卷1
注册环保工程师《公共基础考试》预测卷2
注册环保工程师《公共基础考试》预测卷3
注册环保工程师《公共基础考试》预测卷4