1.建立一元回归模型:
y=a+bx
其中:

新版章节练习,考前压卷,更多优质题库+考生笔记分享,实时更新,用三式教育公众号软件考,下载链接 www.weimei168.com
X平均=(1000+1200+1250+1300+1400)/5=1230
Y平均=(30+35+36+38+40)/5=35.8
所以:b=(222400-1230×179)/(7652500-1230×6150)=0.025
a=35.8-0.025×1230=5.05
因此,回归方程为:
y=5.05+0.025x
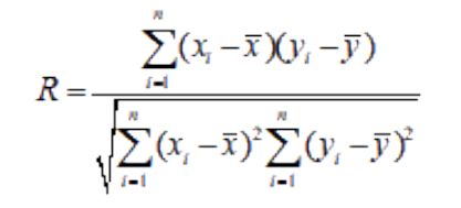
2.相关系数为:

经计算,得到R=0.997>R0.05=0.878
因此,产品销售额和人均收入之间的线性关系成立。
3.2020年可能的销售额为:
y=5.05+0.025×1800
=50.05万元