首页
考研
最新考研题库
中外美术史23新版
建筑类
二级建造师
一级建造师
一级造价工程师
监理工程师
安全工程师
一级消防工程师
消防设施操作员
医学类
主治类
执业药师
护师(初级)资格证考试
主管护师(中级)资格证考试
护士资格证考试
医师类
中药学类
金融类
基金从业资格
银行从业资格
证券从业资格
期货从业资格
银行招聘考试
财会类
初级经济师
中级经济师
初级会计师
中级会计师
注册会计师
税务师
资产评估师
教师类
中学教师笔试
小学教师笔试
幼儿教师笔试
幼儿结构化面试
幼儿专业面试
中小学结构化面试
学历提升
成考(专升本)
成考(高起本、高起专)
自考
网校课程
登录
注册好礼
我的主页
我的提问
我的回答
退出
当前位置:
首页
>
工程项目组织与管理
>
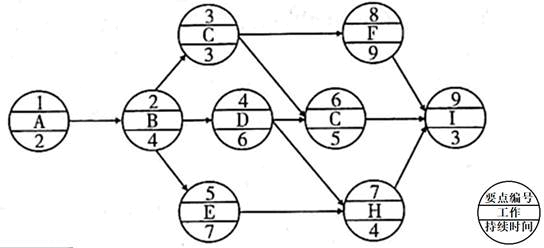
某单代号网络计划如下图所示(单位:月),其总工期是( )个月。
单选
某单代号网络计划如下图所示(单位:月),其总工期是( )个月。
A 17
B 19
C 20
D 21
正确答案
D
查看解析
搜索
相关试题
单选
工程项目的基本特征之一是( )。
A 流动性 B 一次性 C 可逆性 D 重复性
查看
单选
某工程项目业主拟直接与项目的勘察、设计、施工、供货等单位签订合同,以便加强对项目的控制,但业主缺少项目管理人员,则适合采用的业主委托管理模式是( )。
A 项目管理承包模式 B 项目管理服务模式 C 风险型CM模式 D 代建制模式
查看
单选
咨询工程师(投资)在执业登记申请中弄虚作假的,当年不予执业登记且( )年内不得再次申请执业登记。
A 1 B 2 C 3 D 5
查看
单选
团队成员对团队的向心力、团队对其成员的吸引力以及团队成员之间的相互作用和相互信任的氛围共同构成了团队( )。
A 士气 B 凝聚力 C 目标 D 愿景
查看
单选
团队成员已经彼此高度信任、相互默契,团队工作效率高、效果明显,此时的团队处于发展过程中的( )阶段。
A 表现 B 磨合 C 规范 D 休整
查看
单选
心理学家马斯洛的需要层次论认为,每个人都有着多种层次的需要,常见的马斯洛需要层次论是( )层次论。
A 三 B 四 C 五 D 六
查看
单选
在团队管理中,可为团队成员提供成长空间与机会,激励效果好,并具有长久、持续、稳定特点的激励方法是( )。
A 奖励激励 B 竞争激励 C 薪酬激励 D 个人发展激励
查看
单选
在团队组织计划工作中,将工作分解结构(WBS)和组织分解结构(OBS)联系起来,用于角色和职责安排的工具是( )。
A 责任分配矩阵 B 组织关系图 C 风险分解结构 D 资源分解结构
查看
单选
下图表示的是项目组织结构中的( )组织结构。
A 职能式 B 项目式 C 矩阵式 D 复合式
查看
单选
在矩阵式项目组织结构中,全职人员在项目团队所有人员中的占比为0~25%的组织结构模式是( )。
A 复合矩阵式 B 弱矩阵式 C 平衡矩阵式 D 强矩阵式
查看
刷题小程序
热门试卷
2017年咨询工程师《工程项目组织与管理》真题
2018年咨询工程师《工程项目组织与管理》真题
2019年咨询工程师《工程项目组织与管理》真题
2020年咨询工程师《工程项目组织与管理》真题
2021年咨询工程师《工程项目组织与管理》真题
2022年咨询工程师《工程项目组织与管理》真题
2023年咨询工程师《工程项目组织与管理》真题