单选

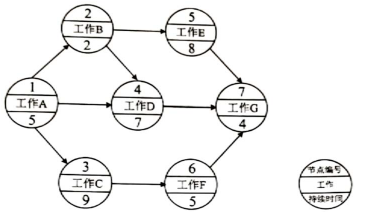
某单代号网络图如下所示(单位:天),其总工期是( )天。

A 16
B 18
C 19
D 23

正确答案
D
查看解析

相关试题

单选
工程项目往往由多个相互依存、紧密关联的单项工程和单位工程组成,彼此协同作用才能发挥工程项目产品的整体功能和效益,这体现了工程项目的( )特征。
A 不确定性 B 一次性 C 固定性 D 整体性
查看
单选
根据《项目管理知识体系指南(PMBOK指南)》,确保项目做且仅做所需的全部工作以达到项目目标,属于项目管理知识体系中的( )。
A 整合管理 B 范围管理 C 沟通管理 D 相关方管理
查看
单选
下列职务特征模型描述维度中,能使员工体验到工作成果责任感的是( )。
A 技能多样性 B 任务同一性 C 反馈及时性 D 任务自主性
查看
单选
采用竞争性磋商方式实施政府采购时,下列项目中,磋商小组可以推荐两家成交候选供应商的是( )。
A 市场竞争不充分的科研项目 B 政府购买服务项目 C 技术复杂或者性质特殊,不能确定详细规格或者具体要求的项目 D 因艺术品采购、专利、专有技术等原因不能事先计算出价格总额的项目
查看
单选
根据国家《标准施工招标文件》通用合同条款,关于索赔的说法,正确的是( )。
A 索赔仅指承包人向发包人提出的索赔 B 索赔事件未给索赔方造成实际损失的,索赔方无权获得相关补偿 C 索赔事件的发生,均由违约行为造成 D 索赔的损失结果与被索赔方的行为一定存在因果关系
查看
单选
根据国家《标准施工招标文件》通用合同条款,承包人可通知发包人立即解除合同的情形是( )。
A 发包人未能按合同约定支付预付款或其他合同价款的 B 由于发包人原因造成停工的 C 发包人无法继续履行合同的 D 监理人无正当理由未在约定期限内发出复工指示,导致承包人无法复工的
查看
单选
根据国家《标准设备采购招标文件》通用合同条款,由于买方原因在最后一批合同设备交货后6个月内未能开始考核,买卖双方应在上述期限届满后7日内签署( )。
A 验收款支付函 B 结清款支付函 C 合同设备验收证书 D 质量保证期届满证书
查看
单选
根据2017版FIDIC《施工合同条件》通用条件,关于质量管理体系的说法,错误的是( )。
A 承包商应在开工后28天内向工程师提交质量管理体系文件,工程师应在收到质量管理体系文件21天内做出回应,发不反对通知或通知承包商修改 B 工程师可随时向承包商发出通知,说明承包商未能按照合同约定,在承包商的活动中正确实施质量管理体系的程度 C 承包商应至少每6个月进行一次质量管理体系内部审计,并在审计结束后7天内将审计报告提交给工程师 D 如果承包商进行了关于质量保证的外部审计,承包商无须通知工程师说明外部审计中发现的问题
查看
单选
项目进度管理内容包括①工作顺序安排;②工作定义;③工作时间估算;④工作资源估算;⑤进度计划制定;⑥进度控制。这些内容的正确顺序是( )。
A ②-①-④-③-⑤-⑥ B ②-①-⑤-④-③-⑥ C ①-②-④-③-⑤-⑥ D ①-②-⑤-④-③-⑥
查看
单选
根据《建设工程工程量清单计价规范》(GB 50500-2013),工程量清单综合单价不包括( )。
A 利润 B 规费 C 管理费 D 一定范围内的风险费用
查看
刷题小程序
工程项目组织与管理题库小程序