首页
考研
最新考研题库
中外美术史23新版
建筑类
二级建造师
一级建造师
一级造价工程师
监理工程师
安全工程师
一级消防工程师
消防设施操作员
医学类
主治类
执业药师
护师(初级)资格证考试
主管护师(中级)资格证考试
护士资格证考试
医师类
中药学类
金融类
基金从业资格
银行从业资格
证券从业资格
期货从业资格
银行招聘考试
财会类
初级经济师
中级经济师
初级会计师
中级会计师
注册会计师
税务师
资产评估师
教师类
中学教师笔试
小学教师笔试
幼儿教师笔试
幼儿结构化面试
幼儿专业面试
中小学结构化面试
学历提升
成考(专升本)
成考(高起本、高起专)
自考
网校课程
登录
注册好礼
我的主页
我的提问
我的回答
退出
当前位置:
首页
>
工程项目组织与管理
>
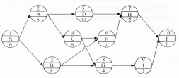
某单代号网络图如下所示(单位:天),其总工期是( )天。
单选
某单代号网络图如下所示(单位:天),其总工期是( )天。
A 15
B 18
C 19
D 20
正确答案
D
查看解析
搜索
相关试题
单选
每个工程项目都具有特定的建设时间、地点和条件,其实施都会涉及某些创新元素,这体现的是工程项目的( )特征。
A 固定性 B 一次性 C 独特性 D 整体性
查看
单选
承包人应在知道或应当知道索赔事件发生后( )天内,向监理人递交索赔意向通知书。
A 7 B 14 C 28 D 36
查看
单选
根据《建设工程安全生产管理条例》,( )在申请领取施工许可证时,应提供工程项目有关安全施工措施的资料。
A 建设单位 B 设计单位 C 监理单位 D 施工单位
查看
单选
工程项目进度管理中,工作定义的主要任务是( )。
A 制订出完成各项具体工作的时间进度安排 B 对完成各项具体工作所需的时间进行估计推算 C 找出各项具体工作之间的逻辑关系并形成文件 D 确定为产生各项可交付成果必须进行的具体工作
查看
单选
根据塔克曼阶梯理论,处于( )阶段的团队工作效率高于其他阶段。
A 形成 B 执行 C 震荡 D 规范
查看
单选
当初步设计的设备清单不完备,或仅有成套设备的重量时,可采用( )编制设备安装工程概算。
A 扩大单价法 B 概算指标法 C 定额单价法 D 预算单价法
查看
单选
因发包人违约解除合同后,承包人按照合同约定解除合同的,发包人应在解除合同后( )天内支付合同解除前完成的工作价款,并退还履约担保。
A 14 B 15 C 28 D 42
查看
单选
有关电子招标投标的交易平台,下列说法不正确的是( )。
A 运营机构应当是依法成立的法人 B 必须是招标人或者其委托的招标代理机构使用的交易平台 C 应确保数据电文不被篡改、不遗漏和可追溯 D 不得以技术和数据接口配套为由,要求潜在投标人购买指定的工具软件
查看
单选
根据X理论和Y理论,持有X理论的管理者认为员工( )。
A 渴望并能够承担责任 B 能够自我规定目标、自我指挥和自我控制 C 缺乏进取心,逃避责任,甘愿被领导 D 拥有自主决策能力
查看
单选
某工程项目发生事故造成15人死亡,12人重伤,直接经济损失4000万元,该事故应确定为( )。
A 特别重大事故 B 重大事故 C 较大事故 D 一般事故
查看
刷题小程序
热门试卷
咨询工程师《工程项目组织与管理》模拟卷1
咨询工程师《工程项目组织与管理》模拟卷2
咨询工程师《工程项目组织与管理》模拟卷3
咨询工程师《工程项目组织与管理》模拟卷4
咨询工程师《工程项目组织与管理》模拟卷5
咨询工程师《工程项目组织与管理》模拟卷6
咨询工程师《工程项目组织与管理》模拟卷7
咨询工程师《工程项目组织与管理》模拟卷8
咨询工程师《工程项目组织与管理》模拟卷9
咨询工程师《工程项目组织与管理》模拟卷10
咨询工程师《工程项目组织与管理》预测卷1
咨询工程师《工程项目组织与管理》预测卷2
咨询工程师《工程项目组织与管理》预测卷3
咨询工程师《工程项目组织与管理》预测卷4
咨询工程师《工程项目组织与管理》预测卷5