单选

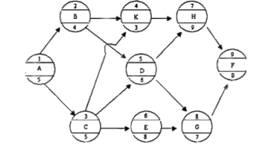
根据某工程项目的各项工作的持续时间和工作之间的逻辑关系,编制的单代号网络计划如下图所示,工作K的最早完成和最迟完成时间分别为( )个月。

A 12,15
B 13,16
C 13,15
D 15,16

正确答案
B
查看解析

相关试题

单选
根据《标准设备采购招标文件》,除专用合同条款另有约定外,卖方按合同约定交付全部合同设备后,买方应向卖方支付合同价格的( )作为交货款。
A 40% B 50% C 60% D 70%
查看
单选
某施工合同含甲、乙2个子项工程,估算工程量分别为6000m3和8000m3,合同工期为12个月,合同价甲项为200元/m3,乙项为300元/m3。合同约定: (
A 292600 B 316500 C 584220 D 689700
查看
单选
目前最基本,也是使用较广泛的组织结构形式为( )。
A 职能式 B 项目式 C 强矩阵式 D 平衡矩阵式
查看
单选
( )原则,即 “信息透明 ”,就是要求工程项目招标投标具有高的透明度,涉及招标程序、投标人的资格条件、评标标准、评标结果、中标结果等信息。
A 公开 B 公正 C 公平 D 公允
查看
单选
开展工程项目安全预评价工作,应根据( )选择相应的评价方法。
A 被评价对象的重要性 B 有害因素导致事故的可能性 C 被评价对象的特点 D 事故可能的严重程度
查看
单选
以下属于PMC模式缺点的是( )。
A 分项招标可能导致承包费用较高 B 业主对项目管理企业的职责不易明确 C 业主控制施工难度较大 D PMC单位的施工管理能力较差
查看
单选
当初步设计深度不够,不能准确地计算出工程量,但工程设计技术比较成熟而又有类似工程概算指标可以利用时,可采用( )编制工程概算。
A 概算定额法 B 概算指标法 C 类似工程预算法 D 扩大单价法
查看
单选
在咨询单位的财务建议书和技术建议书中,赋予质量评审100%权重的采购方式为( )。
A 基于质量和费用的选择 B 基于质量的选择 C 固定预算下的选择 D 最低费用的选择
查看
单选
根据《标准施工招标文件》,合同文件的优先解释顺序是( )。
A 技术标准和要求-图纸-已标价工程量清单-投标函及其附录 B 投标函及其附录-已标价工程量清单-技术标准和要求-图纸 C 技术标准和要求-投标函及其附录-图纸-已标价工程量清单 D 投标函及其附录-技术标准和要求-图纸-已标价工程量清单
查看
单选
根据专业工程《建设工程工程量清单计价规范》编制招标工程量清单时,有两种不同截面的现浇混凝土矩形柱,一种是400mm×400mm,另一种是600mm×400mm,
A 合并列项,项目名称为“矩形柱”,在项目特征中注明混凝土强度 B 分别列项,项目名称均为“现浇混凝土矩形柱”,项目特征中注明截面尺寸 C 分别列项,一个项目名称为“C30现浇混凝土矩形柱400×400”,另一个项目名称为“C30现浇混凝土矩形柱600×400” D 合并列项,项目名称为“矩形柱(400×400,600×400)”,工程数量一栏给出合并后的工程量
查看
刷题小程序
工程项目组织与管理题库小程序