首页
考研
最新考研题库
中外美术史23新版
建筑类
二级建造师
一级建造师
一级造价工程师
监理工程师
安全工程师
一级消防工程师
消防设施操作员
医学类
主治类
执业药师
护师(初级)资格证考试
主管护师(中级)资格证考试
护士资格证考试
医师类
中药学类
金融类
基金从业资格
银行从业资格
证券从业资格
期货从业资格
银行招聘考试
财会类
初级经济师
中级经济师
初级会计师
中级会计师
注册会计师
税务师
资产评估师
教师类
中学教师笔试
小学教师笔试
幼儿教师笔试
幼儿结构化面试
幼儿专业面试
中小学结构化面试
学历提升
成考(专升本)
成考(高起本、高起专)
自考
网校课程
登录
注册好礼
我的主页
我的提问
我的回答
退出
当前位置:
首页
>
高等数学二
>
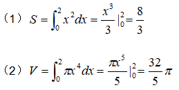
问答题 设D为由曲线y=x2,y=0,x=2所围成的图形. (1)求D的面积; (2)求D绕x轴旋转一周所得旋转体的体积
分析
问答题 设D为由曲线y=x2,y=0,x=2所围成的图形.
(1)求D的面积;
(2)求D绕x轴旋转一周所得旋转体的体积.
正确答案
【考情点拨】本题考查的是定积分应用的知识点
【应试指导】
查看解析
搜索
相关试题
单选
设函数f(x)=sinx,g(x)=x2,则f(g(x))( )
A 是奇函数但不是周期函数 B 是偶函数但不是周期函数 C 既是奇函数又是周期函数 D 既是偶函数又是周期函数
查看
单选
A 1 B 2 C 3 D 4
查看
单选
设函数f(x)在x=0处连续,g(x)在x=0处不连续,则在x=0处
A f(x)g(x)连续 B f(x)g(x)不连续 C f(x)+g(x)连续 D f(x)+g(x)不连续
查看
单选
单选题 设y=arccosx,则y'=( )
A A B B C C D D E E
查看
单选
单选题 设y=ln(x+e-x),则y'=( )
A A B B C C D D E E
查看
单选
设y(n-2)=x2+sinx,则y(n)=( )
A 2-sinx B 2-cosx C 2+sinx D 2+cosx
查看
单选
若函数f(x)的导数f'(x)=-x+1,则( )
A f(x)在(-∞,+∞)单调递减 B f(x)在(-∞,+∞)单调递增 C f(x)在(-∞,1)单调递增 D f(x)在(1,+∞)单调递增
查看
单选
A y=0 B y=1 C y=2 D y=3
查看
单选
单选题
A A B B C C D D E E
查看
单选
A dz+dy B dx+edy C edx+dy D e2dx+e2dy
查看
刷题小程序
热门试卷
2021年成人高等《高等数学(二)》(专升本)真题
2020年成人高等《高等数学(二)》(专升本)真题
2019年成人高等《高等数学(二)》(专升本)真题
2018年成人高等《高等数学(二)》(专升本)真题
2017年成人高等《高等数学(二)》(专升本)真题
2016年成人高考专升本高等数学二考试真题及答案解析
2022年成人高等《高等数学(二)》(专升本)真题