分析

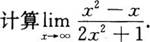
问答题

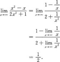
正确答案
查看解析

相关试题

刷题小程序
高等数学二题库小程序