分析

问答题

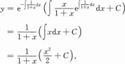
正确答案

查看解析

相关试题

刷题小程序
高等数学一题库小程序