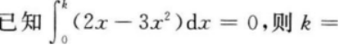
单选

()

A 0或1
B 0或-1
C 0或2
D 1或-1

正确答案
A
查看解析

相关试题

刷题小程序
高等数学一题库小程序