首页
考研
最新考研题库
中外美术史23新版
建筑类
二级建造师
一级建造师
一级造价工程师
监理工程师
安全工程师
一级消防工程师
消防设施操作员
医学类
主治类
执业药师
护师(初级)资格证考试
主管护师(中级)资格证考试
护士资格证考试
医师类
中药学类
金融类
基金从业资格
银行从业资格
证券从业资格
期货从业资格
银行招聘考试
财会类
初级经济师
中级经济师
初级会计师
中级会计师
注册会计师
税务师
资产评估师
教师类
中学教师笔试
小学教师笔试
幼儿教师笔试
幼儿结构化面试
幼儿专业面试
中小学结构化面试
学历提升
成考(专升本)
成考(高起本、高起专)
自考
网校课程
登录
注册好礼
我的主页
我的提问
我的回答
退出
当前位置:
首页
>
高等数学一
>
问答题
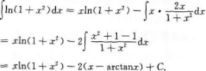
分析
问答题
正确答案
查看解析
搜索
相关试题
单选
设函数f(x)=2lnx+ex,则f′(2)等于( )
A E B 1 C 1+e2 D In2
查看
单选
单选题
A A B B C C D D E E
查看
单选
单选题 当x→0时,下列变量中为无穷小的是( )
A A B B C C D D E E
查看
单选
单选题 下列等式成立的是( )
A A B B C C D D E E
查看
单选
设函数f(x)=(1+x)ex,则函数f(x)( )
A 有极小值 B 有极大值 C 既有极小值又有极大值 D 无极值
查看
单选
单选题 下列各式中正确的是( )
A A B B C C D D E E
查看
单选
方程x2+y2-z2=0表示的二次曲面是( )
A 球面 B 旋转抛物面 C 圆柱面 D 圆锥面
查看
单选
微分方程y′′-2y=ex的特解形式应设为( )
A y*=Aex B y*=Axex C y*=2ex D y*=ex
查看
单选
单选题 下列反常积分收敛的是( )
A A B B C C D D E E
查看
单选
单选题
A A B B C C D D E E
查看
刷题小程序
热门试卷
2022年全国各类成人高等学校招生考试《高等数学(一)》模拟卷一
2022年全国各类成人高等学校招生考试《高等数学(一)》模拟卷二
2020年全国各类成人高等学校招生考试《高等数学(一)》模拟卷
2021年全国各类成人高等学校招生考试《高等数学(一)》模拟卷一
2021年全国各类成人高等学校招生考试《高等数学(一)》模拟卷二
2024年全国各类成人高等学校招生考试《高等数学(一)》模拟卷1
2024年全国各类成人高等学校招生考试《高等数学(一)》模拟卷2
2024年全国各类成人高等学校招生考试《高等数学(一)》模拟卷3
2024年全国各类成人高等学校招生考试《高等数学(一)》模拟卷4
全国各类成人高等学校招生考试《高等数学(一)》模拟卷1
全国各类成人高等学校招生考试《高等数学(一)》模拟卷2
全国各类成人高等学校招生考试《高等数学(一)》预测卷1
全国各类成人高等学校招生考试《高等数学(一)》预测卷2
全国各类成人高等学校招生考试《高等数学(一)》预测卷3