首页
考研
最新考研题库
中外美术史23新版
建筑类
二级建造师
一级建造师
一级造价工程师
监理工程师
安全工程师
一级消防工程师
消防设施操作员
医学类
主治类
执业药师
护师(初级)资格证考试
主管护师(中级)资格证考试
护士资格证考试
医师类
中药学类
金融类
基金从业资格
银行从业资格
证券从业资格
期货从业资格
银行招聘考试
财会类
初级经济师
中级经济师
初级会计师
中级会计师
注册会计师
税务师
资产评估师
教师类
中学教师笔试
小学教师笔试
幼儿教师笔试
幼儿结构化面试
幼儿专业面试
中小学结构化面试
学历提升
成考(专升本)
成考(高起本、高起专)
自考
网校课程
登录
注册好礼
我的主页
我的提问
我的回答
退出
当前位置:
首页
>
高等数学一
>
问答题
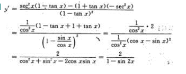
分析
问答题
正确答案
查看解析
搜索
相关试题
单选
单选题
A A B B C C D D E E
查看
单选
单选题
A A B B C C D D E E
查看
单选
A A.1 B B.0 C C.2 D D.不存在
查看
单选
单选题
A A B B C C D D E E
查看
单选
单选题
A A B B C C D D E E
查看
单选
单选题
A A B B C C D D E E
查看
单选
A A.仅有水平渐近线 B B.既有水平渐近线又有铅直渐近线 C C.仅有铅直渐近线 D D.既无水平渐近线又无铅直渐近线
查看
单选
单选题
A A B B C C D D E E
查看
单选
单选题
A A B B C C D D E E
查看
单选
用A表示事件“甲考核通过且乙考核不通过”,则其对立事件为( )
A A.“甲考核不通过,乙考核通过” B B.“甲、乙考核都通过” C C.“甲考核不通过” D D.“甲考核不通过或乙考核通过”
查看
刷题小程序
热门试卷
2022年全国各类成人高等学校招生考试《高等数学(一)》模拟卷一
2022年全国各类成人高等学校招生考试《高等数学(一)》模拟卷二
2020年全国各类成人高等学校招生考试《高等数学(一)》模拟卷
2021年全国各类成人高等学校招生考试《高等数学(一)》模拟卷一
2021年全国各类成人高等学校招生考试《高等数学(一)》模拟卷二
2024年全国各类成人高等学校招生考试《高等数学(一)》模拟卷1
2024年全国各类成人高等学校招生考试《高等数学(一)》模拟卷2
2024年全国各类成人高等学校招生考试《高等数学(一)》模拟卷3
2024年全国各类成人高等学校招生考试《高等数学(一)》模拟卷4
全国各类成人高等学校招生考试《高等数学(一)》模拟卷1
全国各类成人高等学校招生考试《高等数学(一)》模拟卷2
全国各类成人高等学校招生考试《高等数学(一)》预测卷1
全国各类成人高等学校招生考试《高等数学(一)》预测卷2
全国各类成人高等学校招生考试《高等数学(一)》预测卷3