单选

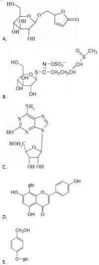
最佳选择题 按照苷键原子不同,下列化合物在酸性条件下最难发生水解的是

A A
B B
C C
D D
E E

正确答案
D
查看解析

相关试题

单选
水火共制时,需要燀制的中药是
A 白附子 B 槐花 C 苦杏仁 D 苍术 E 天南星
查看
单选
断面平坦,显银白色光泽,中部有半透明圆形薄膜,纵剖面薄膜呈梯状排列的药材是
A 苏木 B 木通 C 通草 D 钩藤 E 降香
查看
单选
关于眼用制剂质量要求的说法,错误的是
A 眼膏剂每个容器的装量应不超过10g B 眼用注射液不得添加抗氧剂 C 眼用制剂启用后最多使用4周 D 供外科手术用的眼用制剂不得添加抑菌剂 E 急救用的眼用制剂应采用一次性包装
查看
单选
断面不平坦,外层棕色而粗糙,内层红棕色而油润,两层之间有一条黄棕色线纹的药材是
A 厚朴 B 黄柏 C 杜仲 D 肉桂 E 秦皮
查看
单选
依据中药药性理论,津液大伤及脾胃虚弱者不宜大量使用的味是
A 辛 B 甘 C 酸 D 咸 E 苦
查看
单选
反相硅胶可选择的键合烃基是
A 羟基 B 硝基 C 羧基 D 十八烷基 E 磺酸基
查看
单选
在大孔吸附树脂色谱柱上被水最先洗脱下来的成分是
A 生物碱类 B 黄酮苷类 C 糖类 D 皂苷类 E 强心苷类
查看
单选
酒炙白芍的目的是
A 助其发散,增强泻肝火作用 B 降低酸寒伐肝之性,增强调经止痛作用 C 缓其寒性,增强敛阴止汗作用 D 引药入肝,增强疏肝解郁作用 E 引药上行,增强滋阴除烦作用
查看
单选
以行气解郁、调经散结为主,多用于治疗肋痛、痛经、月经不调等的饮片是
A 香附炭 B 酒香附 C 醋香附 D 盐香附 E 四制香附
查看
单选
生物碱广泛分布于各种中药中,是许多中药的主要有效成分。下列关于生物碱的说法,不正确的是
A 生物碱太多具有较复杂的环状结构,N原子多结合在环内 B 麻黄碱、秋水仙碱、益母草碱等莨菪烷类生物碱的结构特点是氮原子不在环状结构内 C 生物碱沉淀反应一般在酸性水溶液中进行,蛋白质、多肽、氨基酸、鞣质等非生物碱成分也常与生物碱沉淀试剂作用产生假阳性结果 D 生物碱的碱性强弱与其分子中氮原子的杂化方式、电性效应、空间效应以及分子内氢键形成等有关。钩藤碱与异钩藤碱的碱性差异主要源于氢键效应 E 槟榔次碱和吗啡均既可溶于酸水溶液,也可溶于碱水溶液
查看
刷题小程序
中药学专业(一)题库小程序