首页
考研
最新考研题库
中外美术史23新版
建筑类
二级建造师
一级建造师
一级造价工程师
监理工程师
安全工程师
一级消防工程师
消防设施操作员
医学类
主治类
执业药师
护师(初级)资格证考试
主管护师(中级)资格证考试
护士资格证考试
医师类
中药学类
金融类
基金从业资格
银行从业资格
证券从业资格
期货从业资格
银行招聘考试
财会类
初级经济师
中级经济师
初级会计师
中级会计师
注册会计师
税务师
资产评估师
教师类
中学教师笔试
小学教师笔试
幼儿教师笔试
幼儿结构化面试
幼儿专业面试
中小学结构化面试
学历提升
成考(专升本)
成考(高起本、高起专)
自考
网校课程
登录
注册好礼
我的主页
我的提问
我的回答
退出
当前位置:
首页
>
目标控制(水利工程)
>
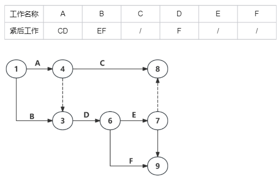
根据双代号网络计划绘图规则和下表给定的逻辑关系,下列网络计划绘图错误()
多选
根据双代号网络计划绘图规则和下表给定的逻辑关系,下列网络计划绘图错误()
A 节点编号有错误
B 有循环回路
C 出现多个终点节点
D 不符合给定的逻辑关系
E 有多余的虚工作
正确答案
ACDE
查看解析
搜索
相关试题
单选
全面质量管理是以质量为中心。()为基础。
A 领导负责 B 全员参与 C 过程管理 D 全面控制
查看
单选
根据《中华人民共和国民法典》,隐蔽工程在隐蔽以前,承包人应通知()
A 勘察人 B 设计人 C 发包人 D 质量监督机构
查看
单选
工程开工后,负责在工程施工现场明显部位设立质量责任公示牌的单位是()
A 项目法人 B 施工单位 C C:监理单位 D 质量监督机构
查看
单选
工序施工质量验收合格的条件中,一般项目中逐项应有()及以上的检验点符合本标准的要求。
A 50% B 70% C 80% D 90%
查看
单选
组织开展勘察交底的单位是()
A 勘察单位 B 设计单位 C 项目法人 D 施工单位
查看
单选
下列专业类别中,属于水利工程质量检测资质类别的是()。
A 基础处理 B 安装工程 C 土建工程 D 机械电气
查看
单选
监理单位对堤防工程土方填筑压实质量开展平行检测的数量不得少于施工单位检测数量的 5%,重要部位至少取样()组。
A 3 B 5 C 7 D 10
查看
单选
某土坝干砌石护坡设计厚度为40cm、下列护坡厚度符合合格质量要求的是()cm。
A 32 B 35 C 38 D 46
查看
单选
监理单位审查施工单位的深基坑开挖与支护专项施工方案时,应重点审查该方案是否符合()的要求。
A 施工合同 B 监理实施细则 C 投标文件 D 工程建设强制性标准
查看
单选
工程开工前,主持工程测量基准点、基准线、水准点及其相关资料移交工作的单位是()
A 项目法人 B 设计单位 C 测量单位 D 监理单位
查看
刷题小程序
热门试卷
2021年监理工程师考试《建设工程目标控制(水利工程)》真题及答案(不完整版)
2023年监理工程师《目标控制(水利工程)》真题
2024年监理工程师《目标控制(水利工程)》考试真题
2024年监理工程师《目标控制(水利工程)》考试真题
2025年监理工程师《目标控制(水利工程)》考试真题