首页
考研
最新考研题库
中外美术史23新版
建筑类
二级建造师
一级建造师
一级造价工程师
监理工程师
安全工程师
一级消防工程师
消防设施操作员
医学类
主治类
执业药师
护师(初级)资格证考试
主管护师(中级)资格证考试
护士资格证考试
医师类
中药学类
金融类
基金从业资格
银行从业资格
证券从业资格
期货从业资格
银行招聘考试
财会类
初级经济师
中级经济师
初级会计师
中级会计师
注册会计师
税务师
资产评估师
教师类
中学教师笔试
小学教师笔试
幼儿教师笔试
幼儿结构化面试
幼儿专业面试
中小学结构化面试
学历提升
成考(专升本)
成考(高起本、高起专)
自考
网校课程
登录
注册好礼
我的主页
我的提问
我的回答
退出
当前位置:
首页
>
目标控制(交通工程)
>
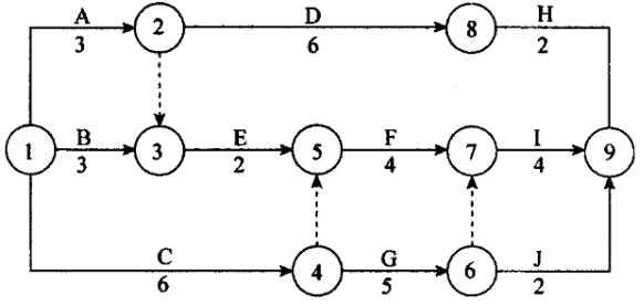
某工程双代号网络计划如下图所示(时间单位为周),图中工作F的最早开始时间和最早完成时间分别是第()周。
单选
某工程双代号网络计划如下图所示(时间单位为周),图中工作F的最早开始时间和最早完成时间分别是第()周。
A 6和10
B 9和11
C 10和13
D 9和13
正确答案
A
查看解析
搜索
相关试题
单选
下列单位属于自控主体的是()。
A 建设单位 B 政府主管部门 C 施工单位 D 监理单位
查看
单选
工程质量控制按其实施主体不同,可分为自控主体和监控主体。下列属于自控主体的是( ) 。
A 政府主管部门 B 建设单位 C 监理单位 D 施工单位
查看
单选
根据《标准化法》规定,关于强制性国家标准的批准发布主体的说法,正确的是( )。
A 国务院工程建设行政主管部门 B 国务院标准化行政主管部门 C 国务院或国务院授权部门 D 国务院发展改革主管部门
查看
单选
下列不属于4M1E的要素有()。
A 人员 B 资金 C 方法 D 环境
查看
单选
属于工程质量监理的组织措施的是( )。
A 检查施工单位质量责任落实情况 B 严格审查合同工程开工条件和分项工程开工条件 C 严格执行施工合同约定的奖罚条款 D 督促施工单位及时支付材料款和农民工工资
查看
单选
属于PDCA循环计划阶段工作的是( )。
A 查找问题 B 检查采取措施后的效果 C 纠偏和预防改进 D 执行措施
查看
单选
《公路工程施工安全技术规范》(JTG F90-2015)属于()。
A 国家标准 B 行业标准 C 地方标准 D 企业标准
查看
单选
施工单位在施工过程中发现设计文件和图纸有差错的,应当( )。
A 要求设计单位更改 B 及时提出意见和建议 C 报告监理单位要求设计单位更改 D 暂停施工,向有关主管部门报告
查看
单选
施工过程中,用钻取芯样法测定得出水泥混凝土路面板厚度的一组数据(单位:cm):25. 1、24.8、24.6、24.7、25.4……这些质量数据可称为()。
A 计数值数据 B 计量值数据 C 离散值数据 D 集中值数据
查看
单选
下列工程质量数据统计分析方法中,主要目的是分析判断生产过程是否稳定的是()。
A 因果分析图 B 直方图 C 控制图 D 排列图
查看
刷题小程序
热门试卷
2022年监理工程师考试《建设工程目标控制(交通工程)》临考密训卷
2022年监理工程师考试《建设工程目标控制(交通工程)》强化提分卷
2022年监理工程师考试《建设工程目标控制(交通工程)》密训卷(符合2022版新教材)
2022年监理工程师考试《建设工程目标控制(交通工程)》模拟卷(符合2022版新教材)
监理工程师《目标控制交通工程》模拟卷1
监理工程师《目标控制交通工程》模拟卷2
监理工程师《目标控制交通工程》模拟卷3
监理工程师《目标控制交通工程》模拟卷4
监理工程师《目标控制交通工程》押题密卷1
监理工程师《目标控制交通工程》押题密卷2
监理工程师《目标控制交通工程》押题密卷3
监理工程师《目标控制交通工程》押题密卷4
监理工程师《目标控制交通工程》押题密卷5
监理工程师《目标控制交通工程》押题密卷6
2024年监理工程师《目标控制交通工程》模拟题库1