首页
考研
最新考研题库
中外美术史23新版
建筑类
二级建造师
一级建造师
一级造价工程师
监理工程师
安全工程师
一级消防工程师
消防设施操作员
医学类
主治类
执业药师
护师(初级)资格证考试
主管护师(中级)资格证考试
护士资格证考试
医师类
中药学类
金融类
基金从业资格
银行从业资格
证券从业资格
期货从业资格
银行招聘考试
财会类
初级经济师
中级经济师
初级会计师
中级会计师
注册会计师
税务师
资产评估师
教师类
中学教师笔试
小学教师笔试
幼儿教师笔试
幼儿结构化面试
幼儿专业面试
中小学结构化面试
学历提升
成考(专升本)
成考(高起本、高起专)
自考
网校课程
登录
注册好礼
我的主页
我的提问
我的回答
退出
当前位置:
首页
>
目标控制(水利工程)
>
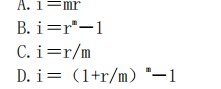
单选题 某银行贷款年名义利率为 r,一年内计息 m 次(m>1)。如果折算为一年计息一次,复利计息,则对应的年利率 i
单选
单选题 某银行贷款年名义利率为 r,一年内计息 m 次(m>1)。如果折算为一年计息一次,复利计息,则对应的年利率 i 为( )。
A A
B B
C C
D D
E E
正确答案
D
查看解析
搜索
相关试题
单选
不承重的侧面模板,混凝土强度达到( )以上,保证其表面及棱角不因拆模而损坏时,方可拆除。
A 2.0MPa B 1.5MPa C 2.5MPa D 0.5MPa
查看
单选
根据《水利工程质量管理规定》,项目法人对水利工程质量承担( )。
A 首要责任 B 主体责任 C 监督责任 D 次要责任
查看
单选
根据《水利水电工程施工质量检验与评定规程》(SL176—2007),涉及工程结构安全的试块、试件及有关材料,应实行( )。
A 见证取样 B 自行检验 C 第三方检测 D 专家评审
查看
单选
建设工程质量与投资、进度的关系是( )。
A 相互独立 B 相互制约 C 毫无关系 D 相互促进
查看
单选
跨度为 1.5m 的悬臂钢筋混凝土承重模板,混凝土达到设计强度标准的( )百分率,方可拆除。
A 70% B 100% C 75% D 50%
查看
单选
隐蔽工程在隐蔽前,施工单位应通知监理单位进行检查,监理单位未按时到场检查的,施工单位可以( )。
A 自行覆盖并记录 B 等待监理单位检查 C 通知设计单位检查 D 通知项目法人检查
查看
单选
为有效控制施工阶段材料质量,承包人在主要建筑材料和设备订货前应向( )申报。
A 监理人 B 设计承包人 C 发包人 D 政府部门
查看
单选
下列说法中错误的是( )。
A 施工准备阶段质量控制是指工程项目开工前的承包人全面施工准备 B 施工准备质量是属于工作质量范畴 C 施工过程的质量控制的内涵包括全过程施工生产及其中各环节的施工作业过程 D 验收质量控制是指对工程产品质量控制
查看
单选
关于施工图,下列叙述正确的是( )。
A 施工图经监理人核查后,可解除设计承包人的责任 B 施工图经监理人核查后,施工承包人无须再检查 C 施工图经监理人核查签字后,下达给承包人,承包人方可按此图施工 D 施工图只能由设计承包人设计,并经监理工程师发布
查看
单选
监理机构按照合同约定,在施工现场对工程项目的重要部位和关键工序的施工,实施连续性的全过程检查、监督与管理,称之为( )。
A 跟踪检验 B 旁站检查 C 巡视检验 D 见证检验
查看
刷题小程序
热门试卷
2022年监理工程师考试《建设工程目标控制(水利工程)》强化提分卷
2022年监理工程师考试《建设工程目标控制(水利工程)》临考密训卷
2021年监理工程师考试《建设工程目标控制(水利工程)》密训卷
2021年监理工程师考试《建设工程目标控制(水利工程)》模拟卷
2023目标控制(水利工程)模拟1
2023目标控制(水利工程)模拟2
2023目标控制(水利工程)模拟3
2023目标控制(水利工程)模拟4
2023目标控制(水利工程)押题密卷1
2023目标控制(水利工程)押题密卷2
2023目标控制(水利工程)押题密卷3
2023目标控制(水利工程)押题密卷4
2023目标控制(水利工程)押题密卷5
2023目标控制(水利工程)押题密卷6
2024年监理工程师《监理目标控制(水利工程)》模拟题库1