首页
考研
最新考研题库
中外美术史23新版
建筑类
二级建造师
一级建造师
一级造价工程师
监理工程师
安全工程师
一级消防工程师
消防设施操作员
医学类
主治类
执业药师
护师(初级)资格证考试
主管护师(中级)资格证考试
护士资格证考试
医师类
中药学类
金融类
基金从业资格
银行从业资格
证券从业资格
期货从业资格
银行招聘考试
财会类
初级经济师
中级经济师
初级会计师
中级会计师
注册会计师
税务师
资产评估师
教师类
中学教师笔试
小学教师笔试
幼儿教师笔试
幼儿结构化面试
幼儿专业面试
中小学结构化面试
学历提升
成考(专升本)
成考(高起本、高起专)
自考
网校课程
登录
注册好礼
我的主页
我的提问
我的回答
退出
当前位置:
首页
>
目标控制(土木建筑)
>
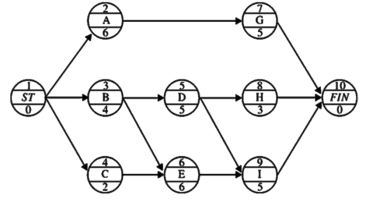
某工程单代号网络计划如下图所示,图中关键工作有( )。
单选
某工程单代号网络计划如下图所示,图中关键工作有( )。
A 工作 A
B 工作 B
C 工作 C
D 工作 D
正确答案
B
查看解析
搜索
相关试题
单选
根据《房屋建筑工程质量保修办法》,建设工程保修期内出现的质量问题,属于施工单位保修范围的有( )。
A 房屋所有人使用不当造成的质量缺陷 B 分包单位施工的幕墙工程气密性不满足要求 C 地震造成的质量缺陷 D 运输公司货车撞击导致墙体开裂
查看
单选
勘察单位对其编制的勘察文件质量负责,应履行的主要职责有( )。
A 参与相关工程质量安全事故分析 B 审查基础工程施工方案 C 解决工程施工中的设计问题 D 提出因设计原因造成质量事故的技术处理方案
查看
单选
根据《建设工程质量管理条例》,隐蔽工程在隐蔽前,应当通知( )。
A 监理单位 B 建设单位 C 建设工程质量监督机构 D 建设单位和建设工程质量监督机构
查看
单选
根据《建设工程质量管理条例》,未经( )签字,建筑材料、建筑构配件不得在工程上使用或安装。
A 建筑师 B 监理工程师 C 建造师 D 建设单位项目负责人
查看
单选
重点管理能改进组织关键活动的各种因素,是 ISO 质量管理体系的质量管理原则中( )的基本内容。
A 以顾客为关注焦点 B 领导作用 C 全员参与 D 过程方法
查看
单选
( )图的散布点形成一团或平行于x轴的直线带。
A 负相关 B 不相关 C 弱负相关 D 非线性相关
查看
单选
尺寸大于6m的钢构件侧向弯曲矢高宜采用( )检测。
A 拉线、吊线坠 B 激光垂准仪 C 全站仪或水准仪 D 全站仪或经纬仪
查看
单选
工程中采用新工艺、新材料的,应有( )及有关质量数据。
A 施工单位组织的专家论证意见 B 权威性技术部门的技术鉴定书 C 设计单位组织的专家论证意见 D 建设单位组织的专家论证意见
查看
单选
下列关于后浇带的说法,错误的是( )。
A 楼板后浇带的模板支撑体系按规定单独设置 B 后浇带留设界面应垂直于结构构件和纵向受力钢筋 C 后浇带、施工缝的结合面应为光滑面 D 后浇带可采用提高一级强度等级的混凝土浇筑
查看
单选
根据《建设工程监理规范》,项目监理机构应根据工程特点和( ),确定旁站的关键部位和关键工序。
A 监理规划 B 监理细则 C 施工单位报送的施工组织设计 D 监理合同
查看
刷题小程序
热门试卷
2022年监理工程师考试《建设工程目标控制(土木建筑工程)》临考密训卷
2022年监理工程师考试《建设工程目标控制(土木建筑工程)》强化提分卷
2022年监理工程师考试《建设工程目标控制(土木建筑工程)》全真模拟卷
2022年监理工程师考试《建设工程目标控制(土木建筑工程)》密训卷(符合2022版新教材)
2022年监理工程师考试《建设工程目标控制(土木建筑工程)》冲刺卷(符合2022版新教材)
2022年监理工程师考试《建设工程目标控制(土木建筑工程)》模拟卷(符合2022版新教材)
监理工程师《 目标控制土木建筑》模拟卷1
监理工程师《 目标控制土木建筑》模拟卷2
监理工程师《 目标控制土木建筑》模拟卷3
监理工程师《 目标控制土木建筑》押题密卷1
监理工程师《 目标控制土木建筑》押题密卷2
监理工程师《 目标控制土木建筑》押题密卷3
监理工程师《 目标控制土木建筑》押题密卷4
监理工程师《 目标控制土木建筑》押题密卷5
监理工程师《 目标控制土木建筑》押题密卷6