首页
考研
最新考研题库
中外美术史23新版
建筑类
二级建造师
一级建造师
一级造价工程师
监理工程师
安全工程师
一级消防工程师
消防设施操作员
医学类
主治类
执业药师
护师(初级)资格证考试
主管护师(中级)资格证考试
护士资格证考试
医师类
中药学类
金融类
基金从业资格
银行从业资格
证券从业资格
期货从业资格
银行招聘考试
财会类
初级经济师
中级经济师
初级会计师
中级会计师
注册会计师
税务师
资产评估师
教师类
中学教师笔试
小学教师笔试
幼儿教师笔试
幼儿结构化面试
幼儿专业面试
中小学结构化面试
学历提升
成考(专升本)
成考(高起本、高起专)
自考
网校课程
登录
注册好礼
我的主页
我的提问
我的回答
退出
当前位置:
首页
>
目标控制(土木建筑)
>
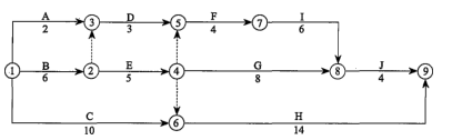
某工程双代号网络计划如下图所示(时间单位: d) ,其中G工作的最早完成时间和最迟完成时间是( ) 。
单选
某工程双代号网络计划如下图所示(时间单位: d) ,其中G工作的最早完成时间和最迟完成时间是( ) 。
A 11和19
B 19和21
C 21和21
D 19和19
正确答案
B
查看解析
搜索
相关试题
单选
工程建设中,履行施工图设计文件审查质量监控职责的单位或部门是( )。
A 建设单位 B 监理单位 C 政府 D 施工单位
查看
单选
工程建设活动中,决定工程质量的关键环节在( )阶段。
A 项目决策 B 工程设计 C 工程施工 D 工程竣工验收
查看
单选
工程的( )使得质量目标和水平具体化。
A 设计 B 施工 C 决策 D 可行性研究
查看
单选
政府、勘察设计单位、建设单位都要对工程质量进行控制,按控制的主体划分,政府属于工程质量控制的()。
A 自控主体 B 外控主体 C 内控主体 D 监控主体
查看
单选
根据《建设工程质量管理条例》,( )应当自工程竣工验收合格起15日内,向工程所在地的县级以上地方人民政府建设主管部门备案。
A 建设单位 B 监理单位 C 施工单位 D 参建各方
查看
单选
在正常使用条件下,电气管线、给排水管道、设备安装和装修工程,最低保修期限为( )。
A 1 年 B 2 年 C 3 年 D 4 年
查看
单选
工程质量事故处理的基本方法包括( )。
A 工程质量事故处理方案的确定 B 消除质量缺陷 C 正确确定处理范围 D 满足建筑物的功能和使用要求
查看
单选
根据《危险性较大的分部分项工程安全管理规定》,应编制专项施工方案并组织专家论证的情形是( )。
A 开挖深度3.5m的基坑支护工程 B 爬模 C 悬挑式脚手架工程 D 人工挖孔桩工程
查看
单选
竣工预验收由( )组织。
A 总监理工程师 B 专业监理工程师 C 施工项目经理 D 建设单位项目负责人
查看
单选
经项目监理机构审查合格的工程项目施工组织设计,应由( )签认。
A 专业监理工程师 B 总监理工程师 C 监理单位技术负责人 D 总监代表
查看
刷题小程序
热门试卷
2022年监理工程师考试《建设工程目标控制(土木建筑工程)》临考密训卷
2022年监理工程师考试《建设工程目标控制(土木建筑工程)》强化提分卷
2022年监理工程师考试《建设工程目标控制(土木建筑工程)》全真模拟卷
2022年监理工程师考试《建设工程目标控制(土木建筑工程)》密训卷(符合2022版新教材)
2022年监理工程师考试《建设工程目标控制(土木建筑工程)》冲刺卷(符合2022版新教材)
2022年监理工程师考试《建设工程目标控制(土木建筑工程)》模拟卷(符合2022版新教材)
监理工程师《 目标控制土木建筑》模拟卷1
监理工程师《 目标控制土木建筑》模拟卷2
监理工程师《 目标控制土木建筑》模拟卷3
监理工程师《 目标控制土木建筑》押题密卷1
监理工程师《 目标控制土木建筑》押题密卷2
监理工程师《 目标控制土木建筑》押题密卷3
监理工程师《 目标控制土木建筑》押题密卷4
监理工程师《 目标控制土木建筑》押题密卷5
监理工程师《 目标控制土木建筑》押题密卷6