首页
考研
最新考研题库
中外美术史23新版
建筑类
二级建造师
一级建造师
一级造价工程师
监理工程师
安全工程师
一级消防工程师
消防设施操作员
医学类
主治类
执业药师
护师(初级)资格证考试
主管护师(中级)资格证考试
护士资格证考试
医师类
中药学类
金融类
基金从业资格
银行从业资格
证券从业资格
期货从业资格
银行招聘考试
财会类
初级经济师
中级经济师
初级会计师
中级会计师
注册会计师
税务师
资产评估师
教师类
中学教师笔试
小学教师笔试
幼儿教师笔试
幼儿结构化面试
幼儿专业面试
中小学结构化面试
学历提升
成考(专升本)
成考(高起本、高起专)
自考
网校课程
登录
注册好礼
我的主页
我的提问
我的回答
退出
当前位置:
首页
>
目标控制(交通工程)
>
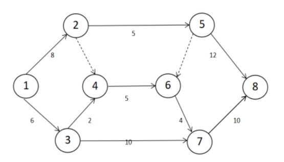
下列双代号网络图有()条关键线路。
单选
下列双代号网络图有()条关键线路。
A 1
B 2
C 3
D 4
正确答案
C
查看解析
搜索
相关试题
单选
监理工程师应对施工单位的工艺试验进行全过程的(),并应做出详细记录。
A 巡视 B 旁站 C 抽检 D 平行试验
查看
单选
下列关于修约的说法,错误的是()。
A 拟舍去的数字中,其最左面的第一位数字小于5 时,则舍去 B 拟舍去的数字中,其最左面的第一位数字大于5 时,则进1 C 拟舍去的数字中,其最左面的第一位数字等于5,后面的数字为0时,则进1 D 实行数据修约时,应在确定修约位数后一次完成
查看
单选
施工安全风险评估中,评估工作负责人应当具有()年以上的工程管理经验。
A 2 B 3 C 4 D 5
查看
单选
下列不属于工程延期的是()。
A 建设单位发出图纸延迟 B 任何形式的额外或附加工程 C 建设单位提供的资料错误 D 施工单位放弃延期的索赔
查看
单选
建设单位承担的责任是()。 A.首要责任 B.主体责任 C.监督责任 D.行政责任
A 首要责任 B 主体责任 C 监督责任 D 行政责任
查看
单选
监理人应在()天内对施工单位施工进度计划和施工方案说明予以批复或提出修改意见。
A 7 B 14 C 28 D 42
查看
单选
下列事故中,不属于车辆伤害是的()。
A 机动车辆在行驶中引起的人体坠落伤亡事故 B 机动车辆在行驶中引起的物体倒塌伤亡事故 C 机动车辆在行驶中引起的挤压伤亡事故 D 车辆停驶时引起的挤压伤亡事故
查看
单选
为了不影响承包人的施工进度,监理人一定要按时进行计量和支付,这个体现了工程计量的()原则。
A 公正性 B 时限性 C 程序性 D 监理人最终确认计量结果
查看
单选
监理人员在费用监理工作中的职责权限中,需要取得发包人的专门批准的是()。
A 工程计量权 B 付款审批权 C 工程变更的单价确认权 D 工程扣款权
查看
单选
下列属于事后监理的是()。
A 对工程量清单中的分项工程做出单价分析表 B 计量审核 C 抽检 D 把实际耗费同中标工程量清单进行比较,并把发生偏差的信息反馈给各方
查看
刷题小程序
热门试卷
2022年监理工程师考试《建设工程目标控制(交通工程)》真题及答案(持续更新中)
2021年监理工程师考试《建设工程目标控制(交通工程)》真题及答案(持续更新中)
2023年监理工程师《目标控制(交通工程)》真题(更新中)
2024年监理工程师《目标控制(交通工程)》考试真题
2025年监理工程师《目标控制(交通工程)》真题