首页
考研
最新考研题库
中外美术史23新版
建筑类
二级建造师
一级建造师
一级造价工程师
监理工程师
安全工程师
一级消防工程师
消防设施操作员
医学类
主治类
执业药师
护师(初级)资格证考试
主管护师(中级)资格证考试
护士资格证考试
医师类
中药学类
金融类
基金从业资格
银行从业资格
证券从业资格
期货从业资格
银行招聘考试
财会类
初级经济师
中级经济师
初级会计师
中级会计师
注册会计师
税务师
资产评估师
教师类
中学教师笔试
小学教师笔试
幼儿教师笔试
幼儿结构化面试
幼儿专业面试
中小学结构化面试
学历提升
成考(专升本)
成考(高起本、高起专)
自考
网校课程
登录
注册好礼
我的主页
我的提问
我的回答
退出
当前位置:
首页
>
市政公用工程管理与实务
>
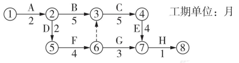
某市政工程双代号网络计划如下图,该工程的总工期为( )个月。
单选
某市政工程双代号网络计划如下图,该工程的总工期为( )个月。
A 12
B 17
C 18
D 19
正确答案
C
查看解析
搜索
相关试题
单选
关于钢筋加工的说法正确的有( )。
A 钢筋的级别、种类和直径应按设计要求采用。当需要代换时,应由监理单位同意即可 B 钢筋宜在常温状态下弯制,不宜加热 C 钢筋接头宜采用绑扎连接接头 D 钢筋与钢板的T形连接,宜采用闪光对焊
查看
单选
道路改造工程中,常采用土工织物铺在新铺沥青混凝土底部,以减少沥青路面的反射裂缝,按要求土工织物应能耐( )℃以上的高温。
A 130 B 150 C 170 D 190
查看
单选
下列影响因素中,不属于设置支架施工预拱度应考虑的是( )。
A 支架承受施工荷载引起的弹性变形 B 支架杆件接头和卸落设备受载后压缩产生的非弹性变形 C 支架立柱在环境温度下的线膨胀或压缩变形 D 支架基础受载后的沉降
查看
单选
金属供热管道安装时,焊缝可设置于( )。
A 管道与阀门连接处 B 管道支架处 C 保护套管处 D 穿越构筑物结构处
查看
单选
摊铺无机结合料的压实系数应通过( )确定。
A 设计 B 试验 C 计算 D 经验
查看
单选
下列有关现浇混凝土水池模板支架施工的说法,正确的是( )。
A 穿墙套管直径应比管道直径大50mm B 穿墙螺栓拆卸后螺栓应与混凝土壁面齐平 C 池壁与顶板连续施工时,池壁内模可作为顶板模板的立柱使用 D 跨度为5m的现浇混凝土顶板模板可不设置预拱度
查看
单选
下列不属于投标文件的内容的是( )。
A 投标函 B 主要施工方案 C 已标价的工程量清单 D 财务报表
查看
单选
可以用于高级路面基层的是( )。
A 水泥土 B 石灰土 C 二灰土 D 二灰稳定粒料
查看
单选
在城区地下障碍物较复杂地段,采用( )施工管道会是较好的选择。
A 盾构法 B 顶管法 C 定向钻 D 浅埋暗挖法
查看
单选
后张法预应力挤压锚具的锚固方式属于( )。
A 夹片式 B 握裹式 C 支承式 D 组合式
查看
刷题小程序
热门试卷
2022年一级建造师考试《市政公用工程管理与实务》自测卷
2022年一级建造师考试《市政公用工程管理与实务》模拟卷
2022年一级建造师考试《市政公用工程管理与实务》预习卷
2021年一级建造师考试《市政公用工程管理与实务》临考提分卷
2021年一级建造师考试《市政公用工程管理与实务》冲刺卷
2021年一级建造师考试《市政公用工程管理与实务》密训卷
2021年一级建造师考试《市政公用工程管理与实务》自测卷
2021年一级建造师考试《市政公用工程管理与实务》模拟卷(二)
2021年一级建造师考试《市政公用工程管理与实务》模拟卷(一)
《市政实务》模考试卷1
《市政实务》模考试卷2
《市政实务》模考试卷3
《市政实务》模考试卷4
《市政实务》模考试卷5
《市政实务》预测试卷1