首页
考研
最新考研题库
中外美术史23新版
建筑类
二级建造师
一级建造师
一级造价工程师
监理工程师
安全工程师
一级消防工程师
消防设施操作员
医学类
主治类
执业药师
护师(初级)资格证考试
主管护师(中级)资格证考试
护士资格证考试
医师类
中药学类
金融类
基金从业资格
银行从业资格
证券从业资格
期货从业资格
银行招聘考试
财会类
初级经济师
中级经济师
初级会计师
中级会计师
注册会计师
税务师
资产评估师
教师类
中学教师笔试
小学教师笔试
幼儿教师笔试
幼儿结构化面试
幼儿专业面试
中小学结构化面试
学历提升
成考(专升本)
成考(高起本、高起专)
自考
网校课程
登录
注册好礼
我的主页
我的提问
我的回答
退出
当前位置:
首页
>
目标控制(土木建筑)
>
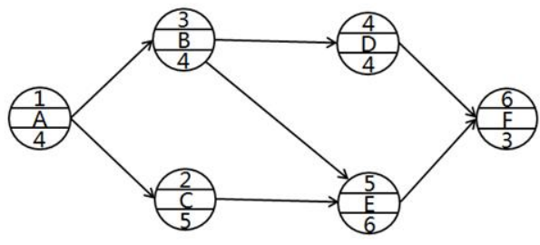
某工程的网络计划如下图所示(时间单位为天),图中工作B和E之间、工作C和E之间的时间间隔分别是( )天。
单选
某工程的网络计划如下图所示(时间单位为天),图中工作B和E之间、工作C和E之间的时间间隔分别是( )天。
A 1和0
B 5和4
C 0和0
D 4和4
正确答案
A
查看解析
搜索
相关试题
单选
根据《建设工程监理规范》,第一次工地会议纪要由( )负责整理。
A 建设单位 B 设计单位 C 施工项目部 D 项目监理机构
查看
单选
根据《建设工程监理规范》,下列施工控制测量成果及保护措施中,项目监理机构复核的内容不包括( )。
A 施工单位测量人员的资格证书 B 施工平面控制网的测量成果 C 测量设备的养护记录 D 控制桩的保护措施
查看
单选
在工程施工过程中,检查施工现场工程建设各方主体的质量行为,是( )的主要任务。
A 建设单位 B 监理单位 C 工程质量监督机构 D 工程质量检测机构
查看
单选
根据有关标准,对有抗震设防要求的主体结构,纵向受力钢筋的屈服强度实测值与强度标准值的比例不应大于( )。
A 1.3 B 1.35 C 1.40 D 1.45
查看
单选
ISO质量管理体系提出的“持续改进”质量管理原则,其核心内容是( )。
A 需求的变化要求组织不断改进 B 确立挑战性的改进目标 C 提高有效性和效率 D 全员参与
查看
单选
ISO质量管理体系运行中,体系要素管理到位的前提和保证是( )。
A 管理体系的适时管理 B 管理体系的行为到位 C 管理体系的适中控制 D 管理体系的识别能力
查看
单选
关于样本中位数的说法,正确的是( )。
A 样本数为偶数时,中位数是数值大小排序后居中两数的平均值 B 中位数反映了样本数据的分散状况 C 中位数反映了中间数据的分布 D 样本中位数是样本极差值的平均值
查看
单选
关于抽样检验的说法,正确的是( )。
A 计量抽样检验是对单位产品的质量采取计数抽样的方法 B 一次抽样检验涉及3个参数,二次抽样检验涉及5个参数 C 一次抽样检验和二次抽样检验均为计量抽样检验 D 一次抽样检验和二次抽样检验均涉及3个参数,即批量、样本数和合格判定数
查看
单选
在采用排列图法分析工程质量问题时,按累计频率划分进行质量影响因素分类,次要因素对应的累计频率区间为( )。
A 70%~80% B 80%~90% C 80%~100% D 90%~100%
查看
单选
在工程质量统计分析时,应用控制图观察分析生产状态,应判定为工序异常的是( )。
A 连续七点链 B 排列点连续6点下降 C 排列点在连续11点中有6点连续同侧 D 排列点连续5点上升
查看
刷题小程序
热门试卷
2022年监理工程师考试《建设工程目标控制(土木建筑工程)》真题及答案
2021年监理工程师考试《建设工程目标控制(土木建筑工程)》真题及答案
2020年监理工程师考试《建设工程目标控制(土木建筑工程)》真题及答案
2019年监理工程师考试《建设工程目标控制(土木建筑工程)》真题及答案
2018年监理工程师考试《建设工程目标控制(土木建筑工程)》真题及答案
2017年监理工程师考试《建设工程目标控制(土木建筑工程)》真题及答案
2016年监理工程师考试《建设工程目标控制(土木建筑工程)》真题及答案
2022年11月监理工程师考试《建设工程目标控制(土木建筑工程)》真题
2023年监理工程师《目标控制(土建)》真题精选
2024年监理工程师《目标控制(土建)》考试真题
2025年监理工程师《目标控制(土建)》考试真题
2025年监理工程师《目标控制(土建)》考试真题