首页
考研
最新考研题库
中外美术史23新版
建筑类
二级建造师
一级建造师
一级造价工程师
监理工程师
安全工程师
一级消防工程师
消防设施操作员
医学类
主治类
执业药师
护师(初级)资格证考试
主管护师(中级)资格证考试
护士资格证考试
医师类
中药学类
金融类
基金从业资格
银行从业资格
证券从业资格
期货从业资格
银行招聘考试
财会类
初级经济师
中级经济师
初级会计师
中级会计师
注册会计师
税务师
资产评估师
教师类
中学教师笔试
小学教师笔试
幼儿教师笔试
幼儿结构化面试
幼儿专业面试
中小学结构化面试
学历提升
成考(专升本)
成考(高起本、高起专)
自考
网校课程
登录
注册好礼
我的主页
我的提问
我的回答
退出
当前位置:
首页
>
水利水电工程管理与实务
>
案例题 某水利枢纽工程由大坝、电站、泄洪洞(底孔)和溢流表孔等建筑物组成。为满足度汛要求,工程施工采取两期导流,一期工程
分析
案例题 某水利枢纽工程由大坝、电站、泄洪洞(底孔)和溢流表孔等建筑物组成。为满足度汛要求,工程施工采取两期导流,一期工程施工泄洪底孔坝段(A)和溢流表孔坝段(B)。某承包人承担了该项(一期工程)施工任务,并依据《水利水电工程标准施工招标文件》(2009年版)与发包人签订了施工合同。合同约定:(1)签约合同价为4500万元,工期24个月,2011年9月1日开工,2011年12月1日截流。
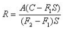
(2)开工前,发包人按约定签约合同10%向承包人支付工程预付款,工程预付款的扣回与还清按
计算,其中F1 =20%,F 2=90%。
(3)由承包人编制,并经监理人批准的施工进度计划如图2-1所示(单位:月,每月按30天计):
本工程在施工过程中发生以下事件:
事件一:由于发包人未按时提供施工场地,造成了开工时间推迟,导致“初期围堰填筑”的延误,经测算“初期围堰填筑”要延至2012年1月30日才能完成。承包人据此向监理人递交了索赔意向通知书,后经双方协商达成如下事项:
(1)截流时间推迟到2012年2月1日;(2)“围堰加高”须在2012年5月30日(含5月30日)前完成;(3)完工日期不变,调整进度计划;(4)承包人依据工期—费用表(如表2所示),重新编制新的施工进度计划,并提交了赶工措施和增加的费用,上报监理人并批准。
表2 工期—费用表
事件二:截至2012年2月底,累计完成合同金额为200万元;监理人确认的2012年3月份已完成工程量清单中“截流及基坑排水”的金额为245万元,“围堰加高”的金额为135万元,均含赶工增加费用。
事件三:结合现场及资源情况,承包人对新的施工进度计划进行了局部调整,A坝段采用搭接施工,其单代号搭接网络如图2所示:
(1)根据事件一,绘制从2012年2月1日起的新施工进度计划(采用双代号网络图表示),指出“A坝段开挖”的最早开始日期。
(2)根据事件一,按增加费用最少原则,应如何调整施工进度计划?计算施工所增加的总费用。
(3)根据原网络进度计划,分别指出“初期围堰填筑”和“围堰加高”的最早完成日期。
(4)计算承包人2012年3月份进度付款申请单中有关款项的金额。
(5)根据事件三,分别指出“A坝段基础处理”和“A坝段混凝土浇筑”的最早开始日期。
正确答案
(1)
“A”201241
(2)围堰加高、截流及基坑排水、B坝段基础处理各压缩1个月;115万元。
(3)2011年11月30日(含11月30日);2012年4月30日(含4月30日)。
(4)三月份合同完成金额:245+135=380万元
截至三月份合同累计完成金额380+200<4500×20%,3月份预付款扣回为0元
支付工程价款为:380万元
(5)2012年6月11日;2012年6月21日。
查看解析
搜索
相关试题
单选
下列混凝土温控术语中,属于混凝土下料后平仓前测得深5~10cm处的温度表述的是( )。
A 绝热温升 B 浇筑温度 C 出机口温度 D 入仓温度
查看
单选
下列关于特征库容、水力荷载说法,正确的是( )。
A 地震作用属于可变荷载 B 2 级水闸其钢筋混凝土闸室在基本荷载组合下,其安全系数 K 最小值为 1.20 C 悬臂式挡土墙的受力分析中包括墙后被动土压力 D 结合库容是水库正常蓄水位与防洪高水位之间的库容
查看
单选
下列关于电力起爆法的说法中,正确的是( )。
A 用于同一起爆网路内的电雷管的电阻值最多只能有两种 B 网路中的支线、区域线联接前各自的两端不允许短路 C 雷雨天严禁采用电爆网路 D 通电后若发生拒爆,应立即进行检查
查看
单选
将某些填料如砂、碎石或生石灰等用冲击、振动或两者兼而有之的方法压入土中,形成一个个的柱体,将原土层挤实,从而增加地基强度的一种方法的是( )。
A 灌浆 B 置换法 C 排水法 D 挤实法
查看
单选
根据《水利水电建设工程验收规程》,下列不属于法人验收的是( )。
A 分部工程验收 B 单位工程验收 C 合同工程完工验收 D 阶段验收
查看
单选
某水工隧洞围岩总评分为85分,则该围岩为( )类。
A I B II C III D IV
查看
单选
根据《水利部办公厅关于调整水利工程计价依据增值税计算标准的通知》(办财务函〔2019〕448号),计算材料单价时,钢筋应除以( )的调整系数。
A 1.02 B 1.03 C 1.09 D 1.13
查看
单选
防洪标准大于100年的堤防工程的级别是( )。
A 一级 B 二级 C 四级 D 五级
查看
单选
如用冷拉方法调直钢筋,则其调直冷拉率不得大于( )。
A 1% B 2% C 3% D 4%
查看
单选
根据《水利水电工程施工组织设计规范》(SL 303—2017),生产能力为1 200 t/h的砂石料加工系统规模为( )。
A 大型 B 中型 C 小(1)型 D 小(2)型
查看
刷题小程序
热门试卷
2022年一级建造师考试《水利水电工程管理与实务》预习卷
2022年一级建造师考试《水利水电工程管理与实务》模拟卷
2022年一级建造师考试《水利水电工程管理与实务》临考提分卷(符合2022年新教材)
2022年一级建造师考试《水利水电工程管理与实务》冲刺卷(符合2022年新教材)
2022年一级建造师考试《水利水电工程管理与实务》密训卷(符合2022年新教材)
2022年一级建造师考试《水利水电工程管理与实务》模拟卷(二)(符合2022年新教材)
2022年一级建造师考试《水利水电工程管理与实务》模拟卷(一)(符合2022年新教材)
《水利实务》模考试卷1
《水利实务》模考试卷2
《水利实务》模考试卷3
《水利实务》模考试卷4
《水利实务》模考试卷5
《水利实务》预测试卷1
《水利实务》预测试卷2
《水利实务》预测试卷3