首页
考研
最新考研题库
中外美术史23新版
建筑类
二级建造师
一级建造师
一级造价工程师
监理工程师
安全工程师
一级消防工程师
消防设施操作员
医学类
主治类
执业药师
护师(初级)资格证考试
主管护师(中级)资格证考试
护士资格证考试
医师类
中药学类
金融类
基金从业资格
银行从业资格
证券从业资格
期货从业资格
银行招聘考试
财会类
初级经济师
中级经济师
初级会计师
中级会计师
注册会计师
税务师
资产评估师
教师类
中学教师笔试
小学教师笔试
幼儿教师笔试
幼儿结构化面试
幼儿专业面试
中小学结构化面试
学历提升
成考(专升本)
成考(高起本、高起专)
自考
网校课程
登录
注册好礼
我的主页
我的提问
我的回答
退出
当前位置:
首页
>
建设工程项目管理
>
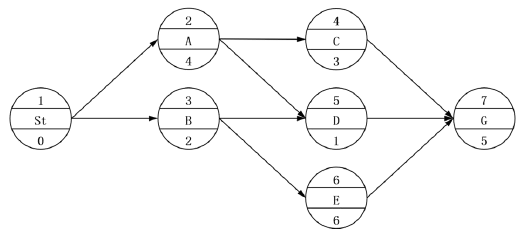
某单代号网络计划如下图(实践单位:天),计算工期是( )天。
单选
某单代号网络计划如下图(实践单位:天),计算工期是( )天。
A 8
B 13
C 10
D 12
正确答案
B
查看解析
搜索
相关试题
单选
脚手架搭设现场,进行构配件运输,应做好防护工作,搭设高度在30m时,其坠落半径是( )。
A 2m B 3m C 6m D 5m
查看
单选
关于保本竞标法的描述,不正确的是( )。
A 不考虑利润的报价方法 B 适用于缺乏竞争优势的施工单位 C 适用于工程项目分期建设,首期工程以高价获得 D 可以帮助施工单位维持生存,渡过困难期
查看
单选
智能建造的最终目标是( )。
A 提高建筑结构的耐久性 B 按期完成施工计划 C 实现安全建造,提高品质、效率和效益,助力数字交付 D 开发更先进的建筑材料
查看
单选
分部分项工程成本分析是施工项目成本分析的基,下列成本费用中,属于目标成本来源的是( )。
A 实际消耗成本 B 工程概算 C 投标报价成本 D 施工预算
查看
单选
在FIDIC施工合同条件下,关于业主责任和义务的描述,错误的是( )。
A 向承包商及时提供信息、指示、同意、批准及发出通知 B 给予承包商现场占有权 C 协助承包商申办工程所在国法律要求的相关许可 D 为工程执行和竣工支付所有必需的费用
查看
单选
下列关于不同类型招标项目的说法,正确的是( )。
A 国际金融机构贷款和援助资金项目多在最不发达国家 B 国际金融机构贷款和援助资金项目招标按照项目所在国政府规定进行招标 C 大多数国家和地区的政府出资项目采用公开招标的方式,承包商需通过相应的资格审核后参与投标 D 私人投资项目的招投标规定与政府出资项目相同,需要公开招标
查看
单选
在有足够工作面和资源的前提下,施工工期最短的施工组织方式是( )。
A 依次施工 B 搭接施工 C 平行施工 D 流水施工
查看
单选
将电力系统中某一点直接或经特殊设备与地作金属连接,称为工作接地,工作接地主要指的是变压器中性点或中性线接地,其中N线必须是( )。
A 铁芯绝缘线 B 铜芯绝缘线 C 铝芯绝缘线 D 铜铝合金线
查看
单选
绿色施工管理的第一责任人是( )。
A 项目经理 B 建设单位负责人 C 施工单位负责人 D 项目专职安全员
查看
单选
当工程质量缺陷经加固、返工处理后仍无法保证达到规定的安全要求,但没有完全丧失使用功能时,适宜采用的处理方法是( )。
A 不作处理 B 限制使用 C 报废处理 D 返修处理
查看
刷题小程序
热门试卷
《建设工程项目管理》模考1
《建设工程项目管理》模考2
《建设工程项目管理》模考3
《建设工程项目管理》模考4
《建设工程项目管理》模考5
《建设工程项目管理》考试1
《建设工程项目管理》考试2
《建设工程项目管理》考试3
《建设工程项目管理》考试4
一级建造师考试《建设工程项目管理》模拟题库1
一级建造师考试《建设工程项目管理》模拟题库2
一级建造师考试《建设工程项目管理》模拟题库3
一级建造师考试《建设工程项目管理》模拟题库4
一级建造师《建设工程项目管理》押题密卷1
一级建造师《建设工程项目管理》押题密卷2