首页
考研
最新考研题库
中外美术史23新版
建筑类
二级建造师
一级建造师
一级造价工程师
监理工程师
安全工程师
一级消防工程师
消防设施操作员
医学类
主治类
执业药师
护师(初级)资格证考试
主管护师(中级)资格证考试
护士资格证考试
医师类
中药学类
金融类
基金从业资格
银行从业资格
证券从业资格
期货从业资格
银行招聘考试
财会类
初级经济师
中级经济师
初级会计师
中级会计师
注册会计师
税务师
资产评估师
教师类
中学教师笔试
小学教师笔试
幼儿教师笔试
幼儿结构化面试
幼儿专业面试
中小学结构化面试
学历提升
成考(专升本)
成考(高起本、高起专)
自考
网校课程
登录
注册好礼
我的主页
我的提问
我的回答
退出
当前位置:
首页
>
建设工程项目管理
>
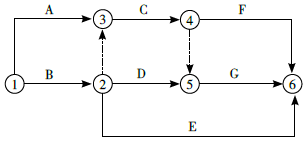
某双代号网络图如下图所示,以下正确的是( )。
单选
某双代号网络图如下图所示,以下正确的是( )。
A 工作C D应同时开始
B 工作B的紧后工作只有C D
C 工作C D完成后即可进行工作G
D 工作D完成后即可进行工作F
正确答案
C
查看解析
搜索
相关试题
单选
对建设工程项目目标控制的纠偏措施中,属于技术措施的是( )。
A 建立工程项目目标控制工作考评机制 B 调整项目管理班子人员 C 调整资金供给方式 D 改进施工方案
查看
单选
根据《生产安全事故报告和调查处理条例》,某工程因提前拆模导致垮塌,造成74人死亡,2人受伤的事故,该事故属于( )事故。
A 重大 B 较大 C 一般 D 特别重大
查看
单选
根据《建设工程监理范围和规模标准规定》,建筑面积在( )万㎡以上的住宅建设工程必须实行监理。
A 5 B 4 C 3 D 2
查看
单选
招标人和中标人应当自中标通知书发出之日起( )日内,按照招标文件和中标人的投标文件订立书面合同。
A 10 B 15 C 30 D 60
查看
单选
施工单价合同“单价优先”原则在结算中主要体现在应支付价款按( )。
A 实际完成并经工程师认可的工程量和合同单价 B 清单工程量和合同单价 C 清单工程量和结算时市场单价 D 实际工程量和结算时市场单价
查看
单选
现场检查内墙抹灰的大面及口角是否平直,一般用( )。
A 感观检验法 B 现场试验法 C 物理检验法 D 化学检验法
查看
单选
下列工作中,属于建设工程进度监测系统过程中工作内容的是( )。
A 分析进度偏差产生的原因 B 分析进度偏差对后续工作及总工期的影响 C 确定后续工作及总工期的限制条件 D 实际进度与计划进度比较分析
查看
单选
同分层法结合起来应用,可以更好、更快地找出问题的原因,以便采取改进的措施的统计分析方法是( )。
A 鱼刺图法 B 相关图法 C 控制图法 D 调查分析法
查看
单选
作业活动中一种必要的技术停顿、作业方式转换及作业活动效果的中间确认的是( )。
A 工序质量检验 B 隐蔽工程验收 C 工序交接验收 D 部位交接验收
查看
单选
工程质量监督主要是指对( )进行的监督检查。
A 工程实体质量和工程验收程序 B 工程质量责任主体行为和工程实施过程 C 工程实施过程和工程实体质量 D 工程质量责任主体行为和工程实体质量
查看
刷题小程序
热门试卷
《建设工程项目管理》模考1
《建设工程项目管理》模考2
《建设工程项目管理》模考3
《建设工程项目管理》模考4
《建设工程项目管理》模考5
《建设工程项目管理》考试1
《建设工程项目管理》考试2
《建设工程项目管理》考试3
《建设工程项目管理》考试4
一级建造师考试《建设工程项目管理》模拟题库1
一级建造师考试《建设工程项目管理》模拟题库2
一级建造师考试《建设工程项目管理》模拟题库3
一级建造师考试《建设工程项目管理》模拟题库4
一级建造师《建设工程项目管理》押题密卷1
一级建造师《建设工程项目管理》押题密卷2