首页
考研
最新考研题库
中外美术史23新版
建筑类
二级建造师
一级建造师
一级造价工程师
监理工程师
安全工程师
一级消防工程师
消防设施操作员
医学类
主治类
执业药师
护师(初级)资格证考试
主管护师(中级)资格证考试
护士资格证考试
医师类
中药学类
金融类
基金从业资格
银行从业资格
证券从业资格
期货从业资格
银行招聘考试
财会类
初级经济师
中级经济师
初级会计师
中级会计师
注册会计师
税务师
资产评估师
教师类
中学教师笔试
小学教师笔试
幼儿教师笔试
幼儿结构化面试
幼儿专业面试
中小学结构化面试
学历提升
成考(专升本)
成考(高起本、高起专)
自考
网校课程
登录
注册好礼
我的主页
我的提问
我的回答
退出
当前位置:
首页
>
建设工程项目管理
>
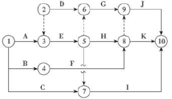
下列双代号网络图中,存在的绘图错误有( )。
多选
下列双代号网络图中,存在的绘图错误有( )。
A 存在多个起点节点
B 箭线交叉的方式错误
C 存在相同节点编号的工作
D 存在没有箭尾节点的箭线
E 多个终点节点
正确答案
AB
查看解析
搜索
相关试题
单选
某投标人在内部投标评审会中发现招标人公布的招标控制价不合理,因此决定放弃此次投标,该风险应对策略为( )。
A 风险减轻 B 风险规避 C 风险自留 D 风险转移
查看
单选
建设工程组织流水施工时,用来表达流水施工在施工工艺方面进展状态的参数( ),
A 流水强度和施工过程 B 流水节拍和施工段 C 工作面和施工过程 D 流水步距和施工段
查看
单选
成本管理各环节是一个有机联系与相互制约的系统过程,成本管理的工作为:①成本控制,②成本管理绩效考核,③成本分析,④成本计划,正确的排序是( )。
A ①④③② B ①④②③ C ④①③② D ④①②③
查看
单选
关于施工现场文明施工具体要求,说法错误的是( )。
A 在易发生伤亡事故(或危险)处设置明显的、符合国家标准要求的安全警示标志牌 B 围挡高度不得低于1.5m C 施工现场实行封闭式管理采用硬质围挡 D 水泥和其他易飞扬细颗粒建筑材料应密闭存放或采取覆盖等措施
查看
单选
( )是最重要、最基本的合规制度,是其他合规制度的基础和依据,适用于所有境外经营相关部门和员工,以及代表企业从事境外经营活动的第三方。
A 合规管理办法 B 合规行为准则 C 合规管理原则 D 合规治理结构
查看
单选
下列项目资本金占项目总投资比例最大的是( )。
A 城市轨道交通 B 保障房 C 普通商品房 D 机场项目
查看
单选
普通商住房投资项目,最低项目资本金比例是( )。
A 25% B 20% C 30% D 15%
查看
单选
关于职能式组织结构特点的说法,正确的是( )。
A 项目经理属于“全能式”人才 B 职能部门的指令,必须经过同层级领导的批准才能下达 C 容易形成多头领导 D 下级执行者职责清楚
查看
单选
下列组成内容中,属于单位工程施工组织设计纲领性内容的是( )。
A 施工进度计划 B 施工方法 C 施工现场平面布置 D 施工部署
查看
单选
根据《风险管理指南》GB/T24353—2022,风险管理过程轮中,反映了风险评估的经典过程是( )。
A 风险识别—风险评价—风险分析 B 风险识别—风险分析—风险评价 C 风险识别—风险分析—风险应对 D 风险评价—风险分析—风险识别
查看
刷题小程序
热门试卷
《建设工程项目管理》模考1
《建设工程项目管理》模考2
《建设工程项目管理》模考3
《建设工程项目管理》模考4
《建设工程项目管理》模考5
《建设工程项目管理》考试1
《建设工程项目管理》考试2
《建设工程项目管理》考试3
《建设工程项目管理》考试4
一级建造师考试《建设工程项目管理》模拟题库1
一级建造师考试《建设工程项目管理》模拟题库2
一级建造师考试《建设工程项目管理》模拟题库3
一级建造师考试《建设工程项目管理》模拟题库4
一级建造师《建设工程项目管理》押题密卷1
一级建造师《建设工程项目管理》押题密卷2